Suppr超能文献

糖基化可以增强表没食子儿茶素没食子酸酯与 G-四链体的结合活性。

Aminoglycosylation can enhance the G-quadruplex binding activity of epigallocatechin.

机构信息

State Key Laboratory of Quality Research in Chinese Medicine, and Macau Institute for Applied Research in Medicine and Health, Macau University of Science and Technology, Taipa, Macau.

出版信息

PLoS One. 2013;8(1):e53962. doi: 10.1371/journal.pone.0053962. Epub 2013 Jan 15.

Abstract

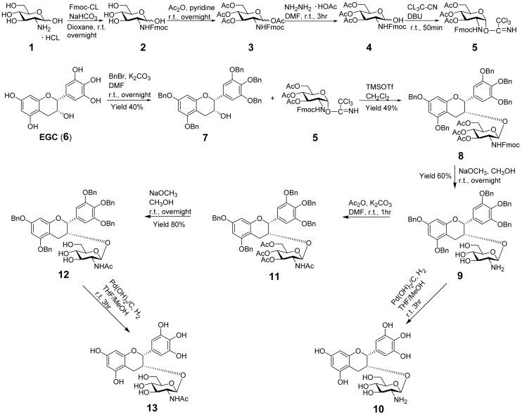
With the aim of enhancing G-quadruplex binding activity, two new glucosaminosides (16, 18) of penta-methylated epigallocatechin were synthesized by chemical glycosylation. Subsequent ESI-TOF-MS analysis demonstrated that these two glucosaminoside derivatives exhibit much stronger binding activity to human telomeric DNA and RNA G-quadruplexes than their parent structure (i.e., methylated EGC) (14) as well as natural epigallocatechin (EGC, 6). The DNA G-quadruplex binding activity of 16 and 18 is even more potent than strong G-quadruplex binder quercetin, which has a more planar structure. These two synthetic compounds also showed a higher binding strength to human telomeric RNA G-quadruplex than its DNA counterpart. Analysis of the structure-activity relationship revealed that the more basic compound, 16, has a higher binding capacity with DNA and RNA G-quadruplexes than its N-acetyl derivative, 18, suggesting the importance of the basicity of the aminoglycoside for G-quadruplex binding activity. Molecular docking simulation predicted that the aromatic ring of 16 π-stacks with the aromatic ring of guanine nucleotides, with the glucosamine moiety residing in the groove of G-quadruplex. This research indicates that glycosylation of natural products with aminosugar can significantly enhance their G-quadruplex binding activities, thus is an effective way to generate small molecules targeting G-quadruplexes in nucleic acids. In addition, this is the first report that green tea catechin can bind to nucleic acid G-quadruplex structures.

摘要

为了增强 G-四链体结合活性,通过化学糖苷化合成了两个新的五甲基表没食子儿茶素的氨基葡萄糖苷(16、18)。随后的 ESI-TOF-MS 分析表明,这两个糖苷衍生物与人类端粒 DNA 和 RNA G-四链体的结合活性明显强于母体结构(即甲基化 EGC)(14)以及天然表没食子儿茶素(EGC,6)。16 和 18 的 DNA G-四链体结合活性甚至比具有更平面结构的强 G-四链体结合剂槲皮素更强。这两种合成化合物对人端粒 RNA G-四链体的结合强度也高于其 DNA 对应物。构效关系分析表明,碱性更强的化合物 16 与 DNA 和 RNA G-四链体的结合能力强于其 N-乙酰基衍生物 18,表明氨基糖苷的碱性对 G-四链体结合活性的重要性。分子对接模拟预测,16 的芳环与鸟嘌呤核苷酸的芳环π-堆积,而葡糖胺部分位于 G-四链体的沟槽中。这项研究表明,用氨基糖对天然产物进行糖基化可以显著增强其 G-四链体结合活性,因此是生成靶向核酸 G-四链体的小分子的有效方法。此外,这是首次报道绿茶儿茶素可以结合核酸 G-四链体结构。

https://cdn.ncbi.nlm.nih.gov/pmc/blobs/d9fd/3545880/a263a8e8588a/pone.0053962.g001.jpg

文献AI研究员

20分钟写一篇综述,助力文献阅读效率提升50倍。

立即体验

用中文搜PubMed

大模型驱动的PubMed中文搜索引擎

马上搜索

文档翻译

学术文献翻译模型,支持多种主流文档格式。

立即体验