Prokai Laszlo, Rivera-Portalatin Nilka M, Prokai-Tatrai Katalin
Department of Molecular Biology and Immunology, University of North Texas Health Science Center, Fort Worth, TX 76107, USA.
Int J Mol Sci. 2013 Jan 11;14(1):1443-54. doi: 10.3390/ijms14011443.
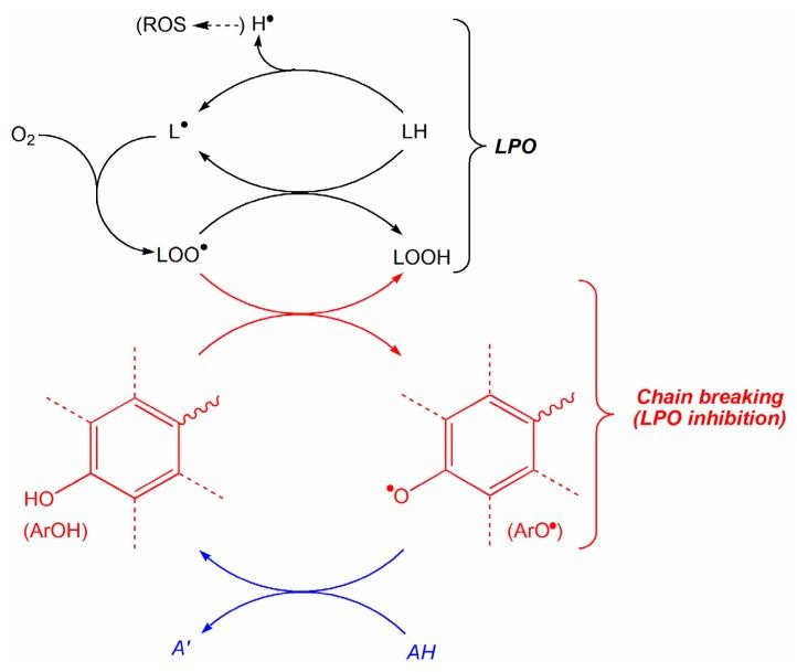
The antioxidant potency of 17β-estradiol and related polycyclic phenols has been well established. This property is an important component of the complex events by which these types of agents are capable to protect neurons against the detrimental consequences of oxidative stress. In order to relate their molecular structure and properties with their capacity to inhibit lipid peroxidation, a marker of oxidative stress, quantitative structure-activity relationship (QSAR) studies were conducted. The inhibition of Fe3+-induced lipid peroxidation in rat brain homogenate, measured through an assay detecting thiobarbituric acid reactive substances for about seventy compounds were correlated with various molecular descriptors. We found that lipophilicity (modeled by the logarithm of the n-octanol/water partition coefficient, logP) was the property that influenced most profoundly the potency of these compounds to inhibit lipid peroxidation in the biological medium studied. Additionally, the important contribution of the bond dissociation enthalpy of the phenolic O-H group, a shape index, the solvent-accessible surface area and the energy required to remove an electron from the highest occupied molecular orbital were also confirmed. Several QSAR equations were validated as potentially useful exploratory tools for identifying or designing novel phenolic antioxidants incorporating the structural backbone of 17β-estradiol to assist therapy development against oxidative stress-associated neurodegeneration.
17β-雌二醇及相关多环酚类的抗氧化能力已得到充分证实。这一特性是这些类型的药物能够保护神经元免受氧化应激有害影响的复杂过程的重要组成部分。为了将它们的分子结构和性质与其抑制脂质过氧化(氧化应激的一个标志物)的能力联系起来,开展了定量构效关系(QSAR)研究。通过检测硫代巴比妥酸反应性物质的测定法,对约70种化合物在大鼠脑匀浆中抑制Fe3+诱导的脂质过氧化的情况与各种分子描述符进行了关联。我们发现亲脂性(以正辛醇/水分配系数的对数logP为模型)是对这些化合物在所研究的生物介质中抑制脂质过氧化能力影响最为深远的性质。此外,酚羟基O-H键的键解离焓、一个形状指数、溶剂可及表面积以及从最高占据分子轨道移除一个电子所需的能量的重要贡献也得到了证实。几个QSAR方程被验证为潜在有用的探索工具,可用于识别或设计具有17β-雌二醇结构骨架的新型酚类抗氧化剂,以协助开发针对氧化应激相关神经退行性变的治疗方法。