Suppr超能文献

MRI 形态计量学分析儿童 MPS IVA(黏多糖贮积症 IVA 型,即 Morquio-Brailsford 综合征)颈椎和脊髓的特征。

MRI morphometric characterisation of the paediatric cervical spine and spinal cord in children with MPS IVA (Morquio-Brailsford syndrome).

机构信息

Department of Paediatric Neurosurgery, Birmingham Children's Hospital NHS Foundation Trust, Steelhouse lane, Birmingham, UK.

出版信息

J Inherit Metab Dis. 2013 Mar;36(2):329-37. doi: 10.1007/s10545-013-9585-3. Epub 2013 Feb 13.

Abstract

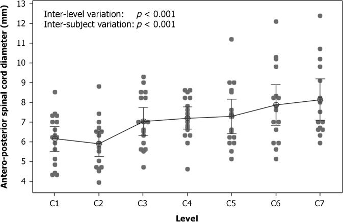
Nearly all children with MPS IVA develop skeletal deformities affecting the spine. At the atlanto-axial spine, odontoid hypoplasia occurs. GAG deposition around the dens, leads to peri-odontoid infiltration. Transverse/alar ligament incompetence causes instability. Atlanto-axial instability is associated with cord compression and myelopathy, leading to major morbidity and mortality. Intervention is often required. Does the presence of widened bullet shaped vertebra in platyspondily encroach on the spinal canal and cause spinal stenosis in MPS IVA? So far, there have been no standardised morphometric measurements of the paediatric MPS IVA cervical spine to evaluate whether there is pre-existing spinal stenosis predisposing to compressive myelopathy or whether this is purely an acquired process secondary to instability and compression. This study provides the first radiological quantitative analysis of the cervical spine and spinal cord in a series of affected children. MRI morphometry indicates that the MPS IVA spine is narrower at C1-2 level giving an inverted funnel shape. There is no evidence of a reduction in the Torg ratio (canal-body ratio) in the cervical spine. The spinal canal does not exceed 11 mm at any level, significantly smaller than normal historical cohorts (14 mm). The sagittal diameter and axial surface area of both spinal canal and cord are reduced. C1-2 level cord compression was evident in the canal-cord ratio but the Torg ratio was not predictive of cord compression. In MPS IVA the reduction in the space available for the cord (SAC) is multifactorial rather than due to congenital spinal stenosis.

摘要

几乎所有患有 MPS IVA 的儿童都会出现影响脊柱的骨骼畸形。在寰枢椎,齿状突发育不全。GAG 在枢椎周围沉积,导致齿状突周围浸润。横/翼状韧带功能不全导致不稳定。寰枢椎不稳定与脊髓压迫和脊髓病有关,导致严重的发病率和死亡率。通常需要进行干预。MPS IVA 中宽子弹形椎体的存在是否侵犯椎管并导致椎管狭窄?到目前为止,还没有针对儿科 MPS IVA 颈椎的标准化形态计量学测量来评估是否存在先前存在的椎管狭窄易导致压迫性脊髓病,或者这是否纯粹是由于不稳定和压迫引起的获得性过程。本研究首次对一系列受累儿童的颈椎和脊髓进行了放射学定量分析。MRI 形态计量学表明,MPS IVA 颈椎在 C1-2 水平更窄,呈倒漏斗形。颈椎的 Torg 比值(椎管体比值)没有降低的证据。椎管在任何水平都不超过 11 毫米,明显小于正常历史队列(14 毫米)。椎管和脊髓的矢状直径和轴向表面积均减小。在椎管-脊髓比中可见 C1-2 水平脊髓受压,但 Torg 比值不能预测脊髓受压。在 MPS IVA 中,脊髓可用空间(SAC)的减少是多因素的,而不是由于先天性椎管狭窄。

https://cdn.ncbi.nlm.nih.gov/pmc/blobs/7544/3590415/2354019d22bd/10545_2013_9585_Fig1_HTML.jpg

文献AI研究员

20分钟写一篇综述,助力文献阅读效率提升50倍。

立即体验

用中文搜PubMed

大模型驱动的PubMed中文搜索引擎

马上搜索

文档翻译

学术文献翻译模型,支持多种主流文档格式。

立即体验