IST/Division of High Performance and Research Computing at the University of Medicine & Dentistry of New Jersey, South Orange Avenue, Newark, NJ 07103, USA ; American Museum of Natural History, Sackler Institute for Comparative Genomics, Central Park West at 79th Street, New York, NY 10024, USA.
Department of Physiology and Biophysics, Weill Medical College, Cornell University, New York, NY 10065, USA ; HRH Prince Alwaleed Bin Talal Bin Abdulaziz Alsaud Institute for Computational Biomedicine, Weill Medical College, Cornell University, New York, NY 10065, USA ; The Information Society Project, Yale Law School, New Haven, CT 06520, USA.
Genome Med. 2013 Mar 25;5(3):27. doi: 10.1186/gm431. eCollection 2013.
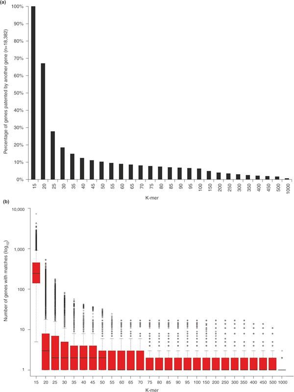
The scope and eligibility of patents for genetic sequences have been debated for decades, but a critical case regarding gene patents (Association of Molecular Pathologists v. Myriad Genetics) is now reaching the US Supreme Court. Recent court rulings have supported the assertion that such patents can provide intellectual property rights on sequences as small as 15 nucleotides (15mers), but an analysis of all current US patent claims and the human genome presented here shows that 15mer sequences from all human genes match at least one other gene. The average gene matches 364 other genes as 15mers; the breast-cancer-associated gene BRCA1 has 15mers matching at least 689 other genes. Longer sequences (1,000 bp) still showed extensive cross-gene matches. Furthermore, 15mer-length claims from bovine and other animal patents could also claim as much as 84% of the genes in the human genome. In addition, when we expanded our analysis to full-length patent claims on DNA from all US patents to date, we found that 41% of the genes in the human genome have been claimed. Thus, current patents for both short and long nucleotide sequences are extraordinarily non-specific and create an uncertain, problematic liability for genomic medicine, especially in regard to targeted re-sequencing and other sequence diagnostic assays.
基因序列的专利范围和资格已经争论了几十年,但一个关于基因专利的关键案例(分子病理学家协会诉迈里德遗传学公司)现在正提交给美国最高法院。最近的法院裁决支持了这样一种观点,即此类专利可以为长度小至 15 个核苷酸(15mers)的序列提供知识产权,但这里对所有当前的美国专利主张和人类基因组进行的分析表明,所有人类基因的 15mer 序列至少与另一个基因匹配。平均每个基因与 364 个其他基因匹配为 15mers;乳腺癌相关基因 BRCA1 的 15mers 至少与 689 个其他基因匹配。更长的序列(1000bp)仍然显示出广泛的跨基因匹配。此外,牛和其他动物专利的 15mer 长度主张也可以主张人类基因组中多达 84%的基因。此外,当我们将分析扩展到迄今为止所有美国专利的全长 DNA 专利主张时,我们发现人类基因组中的 41%的基因已经被主张。因此,目前的短核苷酸序列和长核苷酸序列专利都非常不具体,并给基因组医学带来了不确定和有问题的责任,特别是在靶向重测序和其他序列诊断检测方面。