Suppr超能文献

raf-1激酶在糖尿病诱导的视网膜毛细血管细胞加速凋亡中的作用。

Role of raf-1 kinase in diabetes-induced accelerated apoptosis of retinal capillary cells.

作者信息

Rayappa Steven P, Kowluru Renu A

机构信息

Department of Ophthalmology, Kresge Eye Institute, USA.

出版信息

Int J Biomed Sci. 2008 Mar;4(1):20-8.

Abstract

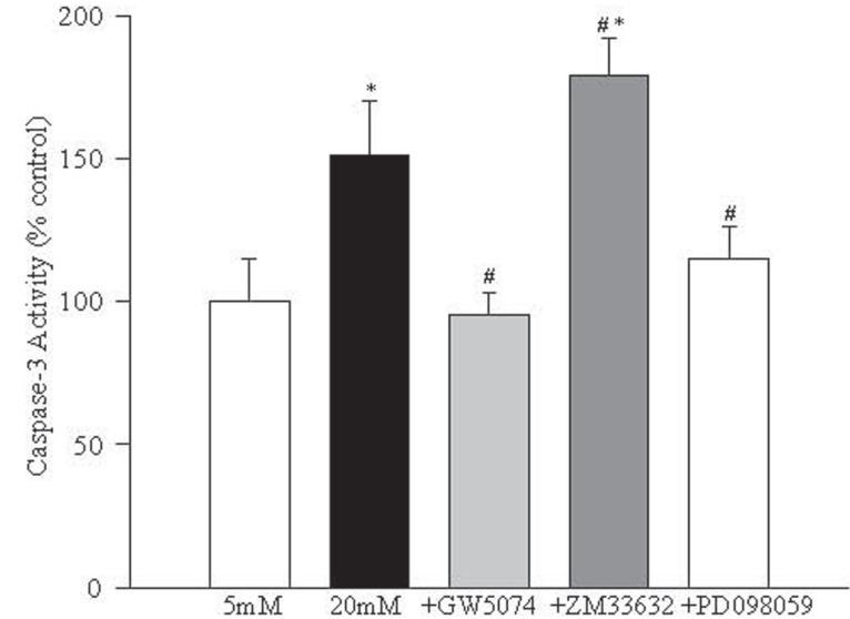
Small molecular weight G-proteins serve as fundamental signaling switches that regulate cell fates by coupling receptor activation to downstream effector pathways. H-Ras, a small molecular weight G-protein, in its active form, recruits Raf. Activated Raf via a signaling transduction pathway regulates apoptosis. Our previous studies have shown that H-Ras has an important role in the loss of retinal capillary cells in diabetes. The purpose of this study is to investigate the role of Raf-1 in the development of diabetic retinopathy. Bovine retinal endothelial cells were incubated in 5 mM or 20 mM glucose in the presence of Raf-1 kinase inhibitor (10μM of GW5074), activator (200μM of ZM336374) or mitogen activated protein kinase inhibitor (30μM of PD098059) for five days. Apoptosis of endothelial cells was analyzed by ELISA and activation of Raf-1 and its downstream signaling proteins by determining genes and protein expressions. Inhibition of Raf-1 kinase repressed glucose-induced apoptosis of the cells by 75%, and this was accompanied by attenuation of activation of MAP kinase, ERK-1, nuclear transcriptional factor and caspase-3. In contrast, ZM336374 further increased glucose-induced apoptosis by 50%, and activated the signaling molecules and caspase 3 by over 30%. Further, PD098059 alone also attenuated glucose-induced apoptosis of retinal endothelial cells. These findings demonstrate that accelerated loss of retinal capillary cells in diabetes is mediated via Raf-1 kinase activation. Modulation of Raf-1 kinase activity could, in part, regulate apoptosis of retinal endothelial cells, which may ultimately contribute to the development of diabetic retinopathy.

摘要

小分子G蛋白作为基本的信号开关,通过将受体激活与下游效应通路偶联来调节细胞命运。H-Ras是一种小分子G蛋白,其活性形式可募集Raf。激活的Raf通过信号转导通路调节细胞凋亡。我们之前的研究表明,H-Ras在糖尿病视网膜毛细血管细胞丢失中起重要作用。本研究的目的是探讨Raf-1在糖尿病视网膜病变发生发展中的作用。将牛视网膜内皮细胞在含有Raf-1激酶抑制剂(10μM的GW5074)、激活剂(200μM的ZM336374)或丝裂原活化蛋白激酶抑制剂(30μM的PD098059)的5 mM或20 mM葡萄糖中孵育5天。通过ELISA分析内皮细胞凋亡,并通过测定基因和蛋白表达来分析Raf-1及其下游信号蛋白的激活情况。抑制Raf-1激酶可使葡萄糖诱导的细胞凋亡减少75%,同时伴随着MAP激酶、ERK-1、核转录因子和caspase-3激活的减弱。相反,ZM336374使葡萄糖诱导的细胞凋亡进一步增加50%,并使信号分子和caspase 3的激活增加超过30%。此外,单独使用PD098059也可减弱葡萄糖诱导的视网膜内皮细胞凋亡。这些发现表明,糖尿病中视网膜毛细血管细胞的加速丢失是通过Raf-1激酶激活介导的。调节Raf-1激酶活性可能部分调节视网膜内皮细胞凋亡,这最终可能导致糖尿病视网膜病变的发生发展。

https://cdn.ncbi.nlm.nih.gov/pmc/blobs/d749/3614674/f067b20f5ff6/IJBS-4-20_F1.jpg

文献AI研究员

20分钟写一篇综述,助力文献阅读效率提升50倍。

立即体验

用中文搜PubMed

大模型驱动的PubMed中文搜索引擎

马上搜索

文档翻译

学术文献翻译模型,支持多种主流文档格式。

立即体验