Suppr超能文献

肽树状大分子/脂质混合系统是高效的 DNA 转染试剂:结构-活性关系突出了树突状大分子代际间电荷分布的作用。

Peptide dendrimer/lipid hybrid systems are efficient DNA transfection reagents: structure--activity relationships highlight the role of charge distribution across dendrimer generations.

机构信息

Department of Biochemistry, University of Cambridge, 80 Tennis Court Road, Cambridge CB2 1GA, United Kingdom.

出版信息

ACS Nano. 2013 May 28;7(5):4668-82. doi: 10.1021/nn400343z. Epub 2013 May 17.

Abstract

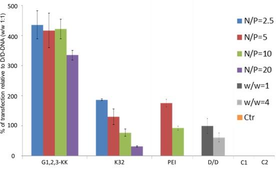
Efficient DNA delivery into cells is the prerequisite of the genetic manipulation of organisms in molecular and cellular biology as well as, ultimately, in nonviral gene therapy. Current reagents, however, are relatively inefficient, and structure-activity relationships to guide their improvement are hard to come by. We now explore peptide dendrimers as a new type of transfection reagent and provide a quantitative framework for their evaluation. A collection of dendrimers with cationic and hydrophobic amino acid motifs (such as KK, KA, KH, KL, and LL) distributed across three dendrimer generations was synthesized by a solid-phase protocol that provides ready access to dendrimers in milligram quantities. In conjunction with a lipid component (DOTMA/DOPE), the best reagent, G1,2,3-KL ((LysLeu)8(LysLysLeu)4(LysLysLeu)2LysGlySerCys-NH2), improves transfection by 6-10-fold over commercial reagents under their respective optimal conditions. Emerging structure-activity relationships show that dendrimers with cationic and hydrophobic residues distributed in each generation are transfecting most efficiently. The trigenerational dendritic structure has an advantage over a linear analogue worth up to an order of magnitude. The success of placing the decisive cationic charge patterns in inner shells rather than previously on the surface of macromolecules suggests that this class of dendrimers significantly differs from existing transfection reagents. In the future, this platform may be tuned further and coupled to cell-targeting moieties to enhance transfection and cell specificity.

摘要

高效地将 DNA 导入细胞是分子和细胞生物学中对生物体进行基因操作以及非病毒基因治疗的前提。然而,目前的试剂相对低效,并且难以获得指导其改进的结构-活性关系。我们现在探索肽树突作为一种新型转染试剂,并为其评估提供定量框架。通过固相方案合成了带有阳离子和疏水性氨基酸基序(如 KK、KA、KH、KL 和 LL)的一系列树突,分布在三个树突代中,该方案可提供易于获得毫克级数量的树突的方法。与脂质成分(DOTMA/DOPE)结合,最佳试剂 G1,2,3-KL((LysLeu)8(LysLysLeu)4(LysLysLeu)2LysGlySerCys-NH2)在各自的最佳条件下,比商业试剂提高转染效率 6-10 倍。新兴的结构-活性关系表明,在每个代中分布有阳离子和疏水性残基的树突转染效率最高。三世代树突结构比线性类似物具有高达一个数量级的优势。将决定性的阳离子电荷模式置于内壳而不是先前置于大分子表面的成功表明,这类树突与现有转染试剂有很大的不同。在未来,这个平台可以进一步调整,并与细胞靶向部分结合,以提高转染效率和细胞特异性。

https://cdn.ncbi.nlm.nih.gov/pmc/blobs/55af/3715887/a6a4aca66cff/nn-2013-00343z_0001.jpg

文献AI研究员

20分钟写一篇综述,助力文献阅读效率提升50倍。

立即体验

用中文搜PubMed

大模型驱动的PubMed中文搜索引擎

马上搜索

文档翻译

学术文献翻译模型,支持多种主流文档格式。

立即体验