Suppr超能文献

一种来自斯普拉格榕树叶的新型黄烷-3-醇二聚体及其细胞毒性活性。

A new flavan-3-ol dimer from Ficus spragueana leaves and its cytotoxic activity.

作者信息

Ragab Ehab A, Mohammed Abd El-Salam I, Abbass Hatem S, Kotb Saaid I

机构信息

Department of Pharmacognosy, Al-Azhar University, Faculty of Pharmacy, Cairo, Egypt.

出版信息

Pharmacogn Mag. 2013 Apr;9(34):144-8. doi: 10.4103/0973-1296.111274.

Abstract

BACKGROUND

Isolation and structure elucidation of flavan-3-ol constituents from the leaves of Ficus spragueana and their cytotoxic activity.

MATERIALS AND METHODS

Different open silica gel column chromatographic techniques with different solvent systems were used for the separation of the constituents of the ethyl acetate-soluble fraction of the alcoholic extract of Ficus spragueana leaves. The structures of these compounds were assigned on the basis of spectroscopic analyses and comparison with literature data. MTT colorimetric assay method (Viability assay) was used for the evaluation of cytotoxic activity of compound 1 against human breast cancer (MCF-7) and human liver cancer (HepG2) cell lines.

RESULTS

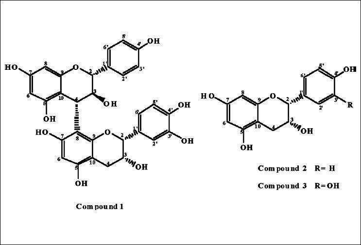
The isolation of one flavan-3-ol dimer and was identified as (-)-afzelechin-(4α→8)-epicatechin 1, and two flavan-3-ol monomers and were identified as (-)-epiafzelechin 2 and (-)-epicatechin 3. Compound 1 was relatively inactive against human breast cancer (MCF-7) cell line at the tested concentrations as compared with the standard. However, at a concentration (50 ΅g) it was found to give inhibition upon the proliferation of examined human liver (HepG2) tumor cell line.

CONCLUSIONS

Compound 1 is a new flavan-3-ol dimer and it showed a potent cytotoxic activity against human liver (HepG2) tumor cell line.

摘要

背景

对斯普拉格榕树叶中黄烷 - 3 - 醇成分进行分离、结构解析及其细胞毒性活性研究。

材料与方法

采用不同溶剂系统的多种开放硅胶柱色谱技术,对斯普拉格榕树叶乙醇提取物乙酸乙酯可溶部分的成分进行分离。基于光谱分析并与文献数据对比确定这些化合物的结构。采用MTT比色法(活力测定法)评估化合物1对人乳腺癌(MCF - 7)和人肝癌(HepG2)细胞系的细胞毒性活性。

结果

分离得到一种黄烷 - 3 - 醇二聚体,鉴定为(-)-阿夫儿茶素-(4α→8)-表儿茶素1,以及两种黄烷 - 3 - 醇单体,分别鉴定为(-)-表阿夫儿茶素2和(-)-表儿茶素3。与标准品相比,在测试浓度下化合物1对人乳腺癌(MCF - 7)细胞系相对无活性。然而,在浓度为50μg时,发现其对所检测的人肝癌(HepG2)肿瘤细胞系的增殖有抑制作用。

结论

化合物1是一种新的黄烷 - 3 - 醇二聚体,对人肝癌(HepG2)肿瘤细胞系显示出较强的细胞毒性活性。

https://cdn.ncbi.nlm.nih.gov/pmc/blobs/4db9/3680854/59ff4882917e/PM-9-144-g001.jpg

文献AI研究员

20分钟写一篇综述,助力文献阅读效率提升50倍。

立即体验

用中文搜PubMed

大模型驱动的PubMed中文搜索引擎

马上搜索

文档翻译

学术文献翻译模型,支持多种主流文档格式。

立即体验