• 文献检索
  • 文档翻译
  • 深度研究
  • 学术资讯
  • Suppr Zotero 插件Zotero 插件
  • 邀请有礼
  • 套餐&价格
  • 历史记录
应用&插件
Suppr Zotero 插件Zotero 插件浏览器插件Mac 客户端Windows 客户端微信小程序
定价
高级版会员购买积分包购买API积分包
服务
文献检索文档翻译深度研究API 文档MCP 服务
关于我们
关于 Suppr公司介绍联系我们用户协议隐私条款
关注我们

Suppr 超能文献

核心技术专利:CN118964589B侵权必究
粤ICP备2023148730 号-1Suppr @ 2026

文献检索

告别复杂PubMed语法,用中文像聊天一样搜索,搜遍4000万医学文献。AI智能推荐,让科研检索更轻松。

立即免费搜索

文件翻译

保留排版,准确专业,支持PDF/Word/PPT等文件格式,支持 12+语言互译。

免费翻译文档

深度研究

AI帮你快速写综述,25分钟生成高质量综述,智能提取关键信息,辅助科研写作。

立即免费体验

一些 3-(4'-取代苯基硫基)-1-甲基-2-哌啶酮的光谱和理论研究。

Spectroscopic and theoretical studies of some 3-(4'-substituted phenylsulfanyl)-1-methyl-2-piperidones.

机构信息

Conformational Analysis and Electronic Interactions Laboratory, Institute of Chemistry, University of São Paulo, USP, CP 26077, 05513-970 São Paulo, SP, Brazil.

出版信息

Molecules. 2013 Jun 27;18(7):7492-509. doi: 10.3390/molecules18077492.

DOI:10.3390/molecules18077492
PMID:23807576
原文链接:https://pmc.ncbi.nlm.nih.gov/articles/PMC6269881/
Abstract

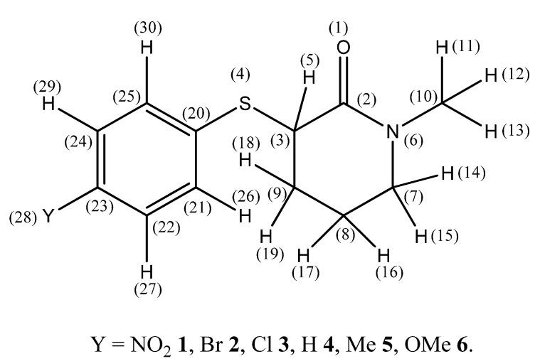
The analysis of the IR carbonyl bands of some 3-(4'-substituted phenylsulfanyl)-1-methyl-2-piperidones 1-6 bearing substituents: NO₂ (compound 1), Br (compound 2), Cl (compound 3), H (compound 4) Me (compound 5) and OMe (compound 6) supported by B3LYP/6-31+G(d,p) and PCM calculations along with NBO analysis (for compound 4) and X-ray diffraction (for 2) indicated the existence of two stable conformations, i.e., axial (ax) and equatorial (eq), the former corresponding to the most stable and the least polar one in the gas phase calculations. The sum of the energy contributions of the orbital interactions (NBO analysis) and the electrostatic interactions correlate well with the populations and the νCO frequencies of the ax and eq conformers found in the gas phase. Unusually, in solution of the non-polar solvents n-C₆H₁₄ and CCl₄, the more intense higher IR carbonyl frequency can be ascribed to the ax conformer, while the less intense lower IR doublet component to the eq one. The same νCO frequency trend also holds in polar solvents, that is ν(CO)(eq)< ν(CO)(ax). However, a reversal of the ax/eq intensity ratio occurs going from non-polar to polar solvents, with the ax conformer component that progressively decreases with respect to the eq one in CHCl₃ and CH₂Cl₂, and is no longer detectable in the most polar solvent CH₃CN. The PCM method applied to compound 4 supports these findings. In fact, it predicts the progressive increase of the eq/ax population ratio as the relative permittivity of the solvent increases. Moreover, it indicates that the computed ν(CO) frequencies of the ax and eq conformers do not change in the non-polar solvents n-C₆H₁₄ and CCl₄, while the ν(CO) frequencies of the eq conformer become progressively lower than that of the ax one going from CHCl₃ to CH₂Cl₂ and to CH₃CN, in agreement with the experimental IR values. The analysis of the geometries of the ax and eq conformers shows that the carbonyl oxygen atom of the eq conformer is free for solvation, while the O[CO]…H[o-Ph] hydrogen bond that takes place in the ax conformer partially hinders the approach of the solvent molecules to the carbonyl oxygen atom. Therefore, the larger solvation that occurs in the carbonyl oxygen atom of the eq conformer is responsible for the observed and calculated decrease of the corresponding frequency. The X-ray single crystal analysis of 2 indicates that this compound adopts the most polar eq geometry in the solid. In fact, in order to obtain the largest energy gain, the molecules are arranged in the crystal in a helical fashion due to dipole moment coupling along with C-H…O and C-H…π(Ph) hydrogen bonds.

摘要

用 B3LYP/6-31+G(d,p) 和 PCM 计算以及 NBO 分析(对于化合物 4)和 X 射线衍射(对于 2)分析了一些 3-(4'-取代苯基硫基)-1-甲基-2-哌啶酮 1-6 的 IR 羰基带的分析,这些化合物带有取代基:NO₂(化合物 1)、Br(化合物 2)、Cl(化合物 3)、H(化合物 4)、Me(化合物 5)和 OMe(化合物 6)。结果表明,存在两种稳定的构象,即轴向(ax)和赤道(eq),前者对应于气相计算中最稳定和极性最小的构象。轨道相互作用(NBO 分析)和静电相互作用的能量贡献之和与气相中 ax 和 eq 构象的特征频率很好地相关。不同寻常的是,在非极性溶剂正己烷和 CCl₄的溶液中,较高的 IR 羰基频率可以归因于 ax 构象,而较低的 IR 双组分则归因于 eq 构象。在极性溶剂中也存在相同的 νCO 频率趋势,即 ν(CO)(eq)< ν(CO)(ax)。然而,从非极性溶剂到极性溶剂,ax/eq 强度比发生了反转,ax 构象的比例相对于 eq 构象逐渐减小,在极性最强的溶剂 CH₃CN 中不再可检测到。应用于化合物 4 的 PCM 方法支持这些发现。事实上,它预测随着溶剂介电常数的增加,eq/ax 种群比例会逐渐增加。此外,它表明,在非极性溶剂正己烷和 CCl₄中,ax 和 eq 构象的计算 ν(CO)频率不会改变,而 eq 构象的 ν(CO)频率从 CHCl₃到 CH₂Cl₂再到 CH₃CN 逐渐降低,与实验 IR 值一致。对 ax 和 eq 构象的几何形状的分析表明,eq 构象的羰基氧原子可以自由溶剂化,而在 ax 构象中发生的 O[CO]…H[o-Ph]氢键部分阻碍了溶剂分子接近羰基氧原子。因此,在 eq 构象的羰基氧原子中发生的较大溶剂化是导致观察到和计算出的相应频率降低的原因。2 的 X 射线单晶分析表明,该化合物在固态中采用最极性的 eq 几何形状。事实上,为了获得最大的能量增益,分子在晶体中排列成螺旋形,这是由于偶极矩耦合以及 C-H…O 和 C-H…π(Ph)氢键的作用。

https://cdn.ncbi.nlm.nih.gov/pmc/blobs/82f8/6269881/59de4bd80259/molecules-18-07492-g004.jpg
https://cdn.ncbi.nlm.nih.gov/pmc/blobs/82f8/6269881/7c55816550e2/molecules-18-07492-g005.jpg
https://cdn.ncbi.nlm.nih.gov/pmc/blobs/82f8/6269881/2c2f3c73812c/molecules-18-07492-g001a.jpg
https://cdn.ncbi.nlm.nih.gov/pmc/blobs/82f8/6269881/bf59d4fd2ca3/molecules-18-07492-g002.jpg
https://cdn.ncbi.nlm.nih.gov/pmc/blobs/82f8/6269881/a6f1d6ec31eb/molecules-18-07492-g006.jpg
https://cdn.ncbi.nlm.nih.gov/pmc/blobs/82f8/6269881/d629eedf0259/molecules-18-07492-g003.jpg
https://cdn.ncbi.nlm.nih.gov/pmc/blobs/82f8/6269881/59de4bd80259/molecules-18-07492-g004.jpg
https://cdn.ncbi.nlm.nih.gov/pmc/blobs/82f8/6269881/7c55816550e2/molecules-18-07492-g005.jpg
https://cdn.ncbi.nlm.nih.gov/pmc/blobs/82f8/6269881/2c2f3c73812c/molecules-18-07492-g001a.jpg
https://cdn.ncbi.nlm.nih.gov/pmc/blobs/82f8/6269881/bf59d4fd2ca3/molecules-18-07492-g002.jpg
https://cdn.ncbi.nlm.nih.gov/pmc/blobs/82f8/6269881/a6f1d6ec31eb/molecules-18-07492-g006.jpg
https://cdn.ncbi.nlm.nih.gov/pmc/blobs/82f8/6269881/d629eedf0259/molecules-18-07492-g003.jpg
https://cdn.ncbi.nlm.nih.gov/pmc/blobs/82f8/6269881/59de4bd80259/molecules-18-07492-g004.jpg

相似文献

1
Spectroscopic and theoretical studies of some 3-(4'-substituted phenylsulfanyl)-1-methyl-2-piperidones.一些 3-(4'-取代苯基硫基)-1-甲基-2-哌啶酮的光谱和理论研究。
Molecules. 2013 Jun 27;18(7):7492-509. doi: 10.3390/molecules18077492.
2
Conformational analysis of some N,N-diethyl-2-[(4'-substituted) phenylthio] acetamides.某些 N,N-二乙基-2-[(4'-取代)苯基硫代]乙酰胺的构象分析。
Spectrochim Acta A Mol Biomol Spectrosc. 2013 Nov;115:738-46. doi: 10.1016/j.saa.2013.06.118. Epub 2013 Jul 8.
3
Conformational study of some 4'-substituted 2-(phenylselanyl)-2-(ethylsulfanyl)-acetophenones.某些4'-取代的2-(苯硒基)-2-(乙硫基)苯乙酮的构象研究
Spectrochim Acta A Mol Biomol Spectrosc. 2015 Mar 15;139:495-504. doi: 10.1016/j.saa.2014.12.077. Epub 2014 Dec 27.
4
Spectroscopic and theoretical studies of some 2‑(methoxy)‑2‑[(4‑substituted)‑phenylsulfanyl]‑(4'‑substituted) acetophenones.一些 2-(甲氧基)-2-[(4-取代)苯基硫基]-(4'-取代)苯乙酮的光谱和理论研究。
Spectrochim Acta A Mol Biomol Spectrosc. 2019 Mar 5;210:82-97. doi: 10.1016/j.saa.2018.11.010. Epub 2018 Nov 12.
5
Conformational Analysis and Electronic Interactions of Some 4'-Substituted-2-ethylthio-phenylacetates.一些4'-取代-2-乙硫基苯乙酸酯的构象分析和电子相互作用
J Phys Chem A. 2015 Apr 23;119(16):3823-32. doi: 10.1021/acs.jpca.5b01531. Epub 2015 Apr 13.
6
Conformational behaviors of trans-2,3- and trans-2,5-dihalo-1,4-diselenanes. A complete basis set, hybrid-density functional theory study and natural bond orbital interpretations.反式-2,3-和反式-2,5-二卤代-1,4-二硒烷的构象行为。全基组、杂化密度泛函理论研究及自然键轨道解释。
J Mol Model. 2014 May;20(5):2249. doi: 10.1007/s00894-014-2249-x. Epub 2014 May 10.
7
Conformational stability of cyclobutanol from temperature dependent infrared spectra of xenon solutions, r0 structural parameters, ab initio calculations and vibrational assignment.基于氙气溶液的温度依赖红外光谱、r0结构参数、从头算计算和振动归属对环丁醇的构象稳定性研究
Spectrochim Acta A Mol Biomol Spectrosc. 2008 Dec 15;71(4):1379-89. doi: 10.1016/j.saa.2008.04.010. Epub 2008 Apr 25.
8
PCM study of the solvent and substituent effects on the conformers, intramolecular hydrogen bonds and bond dissociation enthalpies of 2-substituted phenols.2-取代苯酚的构象、分子内氢键和键解离焓的溶剂和取代基效应的极化连续介质模型研究
J Phys Chem A. 2005 Jan 20;109(2):366-77. doi: 10.1021/jp0462658.
9
Solvent effects on the infrared spectra of beta-alkoxyvinyl methyl ketones I. Carbonyl and vinyl stretching vibrations.溶剂对β-烷氧基乙烯基甲基酮红外光谱的影响 I. 羰基和乙烯基伸缩振动
Spectrochim Acta A Mol Biomol Spectrosc. 2008 Dec 1;71(3):779-85. doi: 10.1016/j.saa.2008.01.031. Epub 2008 Feb 7.
10
Infrared spectroscopy and theoretical calculations as tools for the conformational analysis of 2-methoxycyclohexanone.红外光谱和理论计算作为2-甲氧基环己酮构象分析的工具
Spectrochim Acta A Mol Biomol Spectrosc. 2003 Apr;59(6):1177-82. doi: 10.1016/s1386-1425(02)00316-5.

本文引用的文献

1
Conformational analysis of some N,N-diethyl-2-[(4'-substituted) phenylthio] acetamides.某些 N,N-二乙基-2-[(4'-取代)苯基硫代]乙酰胺的构象分析。
Spectrochim Acta A Mol Biomol Spectrosc. 2013 Nov;115:738-46. doi: 10.1016/j.saa.2013.06.118. Epub 2013 Jul 8.
2
1-Methyl-3-phenyl-sulfonyl-2-piperidone.1-甲基-3-苯基磺酰基-2-哌啶酮
Acta Crystallogr Sect E Struct Rep Online. 2008 Apr 16;64(Pt 5):o835-6. doi: 10.1107/S1600536808009288.
3
A short history of SHELX.SHELX简史。
Acta Crystallogr A. 2008 Jan;64(Pt 1):112-22. doi: 10.1107/S0108767307043930. Epub 2007 Dec 21.
4
Resonance structures of the amide bond: the advantages of planarity.酰胺键的共振结构:平面性的优势。
Chemistry. 2006 Sep 18;12(27):7215-24. doi: 10.1002/chem.200600052.
5
Microwave Spectrum and Molecular Conformation of delta-Valerolactam.δ-戊内酰胺的微波光谱与分子构象
J Mol Spectrosc. 1999 Dec;198(2):381-386. doi: 10.1006/jmsp.1999.7959.
6
Development of the Colle-Salvetti correlation-energy formula into a functional of the electron density.将科勒-萨尔维蒂相关能公式发展为电子密度的泛函。
Phys Rev B Condens Matter. 1988 Jan 15;37(2):785-789. doi: 10.1103/physrevb.37.785.
7
Density-functional exchange-energy approximation with correct asymptotic behavior.具有正确渐近行为的密度泛函交换能近似
Phys Rev A Gen Phys. 1988 Sep 15;38(6):3098-3100. doi: 10.1103/physreva.38.3098.