Suppr超能文献

中国育龄妇女的艾滋病病毒知晓情况(1997 - 2005年):分解分析

HIV awareness in China among women of reproductive age (1997-2005): a decomposition analysis.

作者信息

Maslovskaya Olga, Brown James J, Smith Peter W F, Padmadas Sabu S

机构信息

* Southampton Statistical Sciences Research Institute (S3RI), University of Southampton, Southampton, UK.

出版信息

J Biosoc Sci. 2014 Mar;46(2):178-98. doi: 10.1017/S0021932013000333. Epub 2013 Jul 5.

Abstract

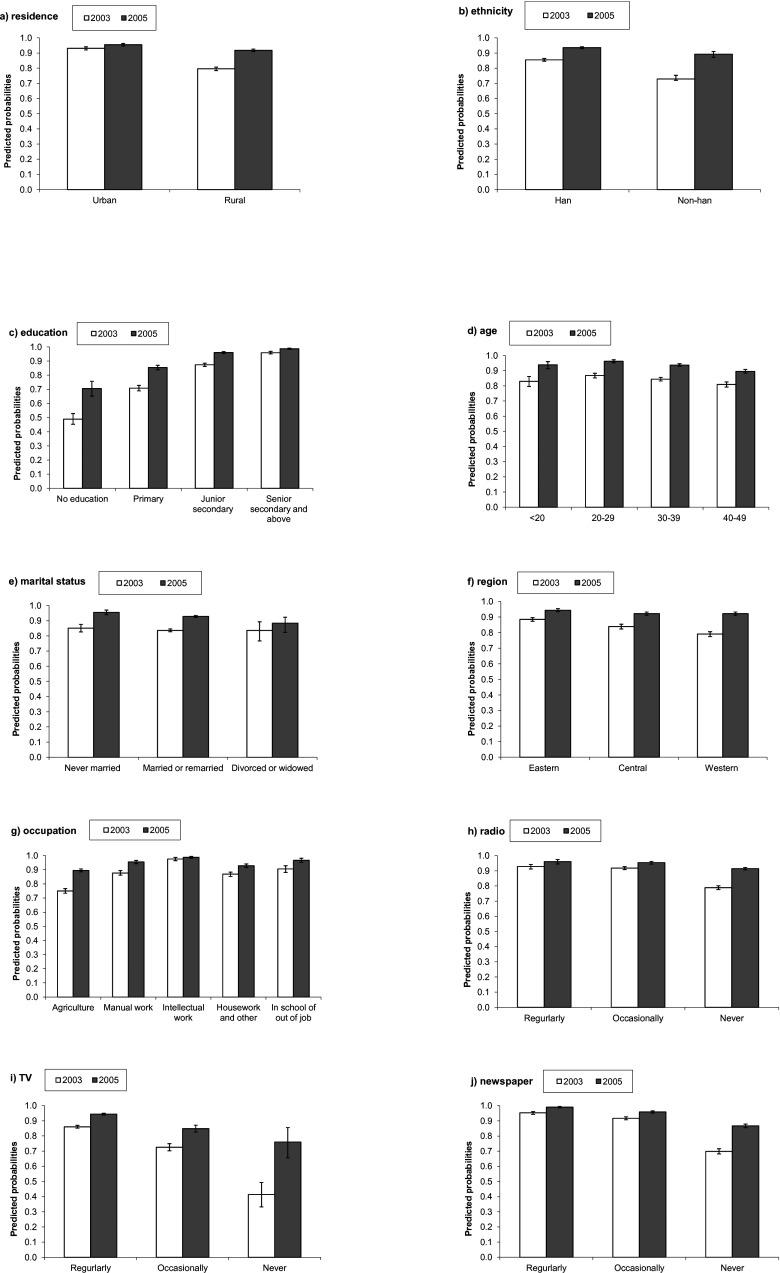
HIV prevalence in China is less than one per cent, but the absolute number of people living with HIV/AIDS is large and growing. Given the limited scope of any potential cure for HIV, prevention plays a crucial role in controlling the epidemic. This paper examines the evolution of HIV awareness among women in China between 1997 and 2005. A regression decomposition analysis technique was used to disentangle the two main components driving a change in HIV awareness. The results show that HIV awareness has increased over time in China. The gaps between groups are narrowing over time and lower HIV awareness groups are catching up with the higher awareness groups. In 2005 education remained one of the main factors associated with HIV awareness, the other main factors being ethnicity, exposure to TV and newspapers. The increases in HIV awareness observed between 1997 and 2001 are similar between groups of women with different demographic characteristics, whereas between 2003 and 2005 increases are more pronounced among specific groups of women such as women from rural areas, women from Western parts of the country, women who belong to ethnic minorities and those with no education or with only primary education. The results suggest that the main driver of the observed change in HIV awareness over time in China is change in the environment such as in political commitment, interventions and campaigns rather than change in population structure.

摘要

中国的艾滋病病毒(HIV)感染率低于1%,但感染HIV/艾滋病的绝对人数众多且呈增长趋势。鉴于针对HIV的任何潜在治愈方法的范围有限,预防在控制该流行病方面起着至关重要的作用。本文考察了1997年至2005年间中国女性对HIV的认知演变。采用回归分解分析技术来剖析推动HIV认知变化的两个主要因素。结果表明,中国女性对HIV的认知随时间推移有所提高。不同群体之间的差距随着时间的推移在缩小,对HIV认知较低的群体正在追赶认知较高的群体。2005年,教育仍然是与HIV认知相关的主要因素之一,其他主要因素包括种族、接触电视和报纸的情况。1997年至2001年间,不同人口特征的女性群体对HIV的认知增长情况相似,而2003年至2005年间,农村女性、西部女性、少数民族女性以及未受过教育或仅受过小学教育的女性等特定女性群体的认知增长更为显著。结果表明,在中国,随时间推移观察到的HIV认知变化的主要驱动因素是环境变化,如政治承诺、干预措施和宣传活动,而非人口结构变化。

https://cdn.ncbi.nlm.nih.gov/pmc/blobs/80e6/3904486/c8211b510e15/S0021932013000333_fig1.jpg

文献检索

告别复杂PubMed语法,用中文像聊天一样搜索,搜遍4000万医学文献。AI智能推荐,让科研检索更轻松。

立即免费搜索

文件翻译

保留排版,准确专业,支持PDF/Word/PPT等文件格式,支持 12+语言互译。

免费翻译文档

深度研究

AI帮你快速写综述,25分钟生成高质量综述,智能提取关键信息,辅助科研写作。

立即免费体验