Suppr超能文献

改善初级保健中具有乳腺癌家族史人群的管理:基于审核的教育前后研究。

Improving the management of people with a family history of breast cancer in primary care: before and after study of audit-based education.

机构信息

Division of Population Health Sciences and Education, St George’s, University of London, Cranmer Terrace, London SW17 0RE, UK.

出版信息

BMC Fam Pract. 2013 Jul 24;14:105. doi: 10.1186/1471-2296-14-105.

Abstract

BACKGROUND

In England, guidance from National Institute for Clinical Excellence (NICE) states women with a family history of breast cancer presenting to primary care should be reassured or referred.We reviewed the evidence for interventions that might be applied in primary care and conducted an audit of whether low risk women are correctly advised and flagged.

METHODS

We conducted a literature review to identify modifiable risk factors. We extracted routinely collected data from the computerised medical record systems of 6 general practices (population approximately 30,000); of the variables identified in the guidance. We implemented a quality improvement (QI) intervention called audit-based education (ABE) comparing participant practices with guidelines and each other before and after; we report odds ratios (OR) of any change in data recording.

RESULTS

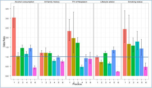
The review revealed evidence for advising on: diet, weight control, physical exercise, and alcohol. The proportion of patients with recordings of family history of: disease, neoplasms, and breast cancer were: 39.3%, 5.1% and 1.3% respectively. There was no significant change in the recording of family history of disease or cancer; OR 1.02 (95% CI 0.98-1.06); and 1.08 (95% CI 0.99-1.17) respectively. Recording of alcohol consumption and smoking both increased significantly; OR 1.36 (95% CI 1.30-1.43); and 1.42 (95% CI 1.27-1.60) respectively. Recording lifestyle advice fell; OR 0.84 (95% CI 0.81-0.88).

CONCLUSIONS

The study informs about current data recording and willingness to engage in ABE. Recording of risk factors improved after the intervention. Further QI is needed to achieve adherence to current guidance.

摘要

背景

在英国,国家临床卓越研究所(NICE)的指南指出,前往初级保健的有乳腺癌家族史的女性应该得到安抚或转介。我们审查了可能在初级保健中应用的干预措施的证据,并对低风险女性是否得到正确建议和标记进行了审核。

方法

我们进行了文献回顾,以确定可改变的危险因素。我们从 6 家普通诊所(约 30000 人)的计算机化医疗记录系统中提取了常规收集的数据;这些数据变量是在指南中确定的。我们实施了一种名为基于审核的教育(ABE)的质量改进(QI)干预措施,将参与者的实践与指南进行比较,并在实施前后进行比较;我们报告数据记录任何变化的比值比(OR)。

结果

审查结果显示,有证据表明可以提供有关饮食、体重控制、体育锻炼和饮酒的建议。有家族病史的患者的记录比例为:疾病、肿瘤和乳腺癌分别为 39.3%、5.1%和 1.3%。家族病史或癌症的记录没有显著变化;OR 为 1.02(95% CI 0.98-1.06)和 1.08(95% CI 0.99-1.17)。饮酒和吸烟的记录均显著增加;OR 分别为 1.36(95% CI 1.30-1.43)和 1.42(95% CI 1.27-1.60)。生活方式建议的记录下降;OR 为 0.84(95% CI 0.81-0.88)。

结论

该研究提供了有关当前数据记录和参与 ABE 的意愿的信息。干预后,危险因素的记录有所改善。需要进一步的 QI 来实现对当前指南的依从性。

https://cdn.ncbi.nlm.nih.gov/pmc/blobs/4240/3734209/dcdb8fd0e404/1471-2296-14-105-1.jpg

相似文献

本文引用的文献

7
Healthy lifestyle on the risk of breast cancer.健康的生活方式可降低乳腺癌风险。
Cancer Epidemiol Biomarkers Prev. 2011 May;20(5):912-22. doi: 10.1158/1055-9965.EPI-10-1036. Epub 2011 Feb 18.

文献检索

告别复杂PubMed语法,用中文像聊天一样搜索,搜遍4000万医学文献。AI智能推荐,让科研检索更轻松。

立即免费搜索

文件翻译

保留排版,准确专业,支持PDF/Word/PPT等文件格式,支持 12+语言互译。

免费翻译文档

深度研究

AI帮你快速写综述,25分钟生成高质量综述,智能提取关键信息,辅助科研写作。

立即免费体验