Suppr超能文献

点击反应作为构建大环结构的有效工具。

The click reaction as an efficient tool for the construction of macrocyclic structures.

机构信息

Department of Chemistry, University of Pavia, Viale Taramelli, 10-27100 Pavia, Italy.

出版信息

Molecules. 2013 Aug 8;18(8):9512-30. doi: 10.3390/molecules18089512.

Abstract

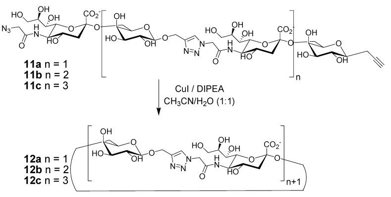
The Cu(I)-catalyzed azide-alkyne cycloaddition (CuAAC, known as the click reaction) is an established tool used for the construction of complex molecular architectures. Given its efficiency it has been widely applied for bioconjugation, polymer and dendrimer synthesis. More recently, this reaction has been utilized for the efficient formation of rigid or shape-persistent, preorganized macrocyclic species. This strategy also allows the installment of useful functionalities, in the form of polar and function-rich 1,2,3-triazole moieties, directly embedded in the macrocyclic structures. This review analyzes the state of the art in this context, and provides some elements of perspective for future applications.

摘要

铜(I)催化的叠氮-炔环加成(CuAAC,也称为点击反应)是一种用于构建复杂分子结构的成熟工具。由于其效率高,已广泛应用于生物偶联、聚合物和树枝状聚合物的合成。最近,该反应已用于高效形成刚性或形状保持的预组织大环物种。该策略还允许以极性和功能丰富的 1,2,3-三唑基团的形式,直接嵌入大环结构中,安装有用的功能。这篇综述分析了这方面的最新进展,并为未来的应用提供了一些展望。

https://cdn.ncbi.nlm.nih.gov/pmc/blobs/79d4/6270095/ceed8e717d54/molecules-18-09512-g005.jpg

文献AI研究员

20分钟写一篇综述,助力文献阅读效率提升50倍。

立即体验

用中文搜PubMed

大模型驱动的PubMed中文搜索引擎

马上搜索

文档翻译

学术文献翻译模型,支持多种主流文档格式。

立即体验