Suppr超能文献

β-环糊精辅助类黄酮糖苷的酶促水解

β-cyclodextrin assistant flavonoid glycosides enzymatic hydrolysis.

作者信息

Jin Xin, Zhang Zhen-Hai, Sun E, Jia Xiao-Bin

机构信息

College of Pharmacy, Nanjing University of Chinese Medicine, Nanjing 210 046, PR China.

出版信息

Pharmacogn Mag. 2013 Oct;9(Suppl 1):S11-8. doi: 10.4103/0973-1296.117851.

Abstract

BACKGROUND

The content of icaritin and genistein in herba is very low, preparation with relatively large quantities is an important issue for extensive pharmacological studies.

OBJECTIVE

This study focuses on preparing and enzymic hydrolysis of flavonoid glycosides /β-cyclodextrin inclusion complex to increase the hydrolysis rate.

MATERIALS AND METHODS

The physical property of newly prepared inclusion complex was tested by differential scanning calorimetry (DSC). The conditions of enzymatic hydrolysis were optimized for the bioconversion of flavonoid glycosides /β-cyclodextrin inclusion complex by mono-factor experimental design. The experiments are using the icariin and genistein as the model drugs.

RESULTS

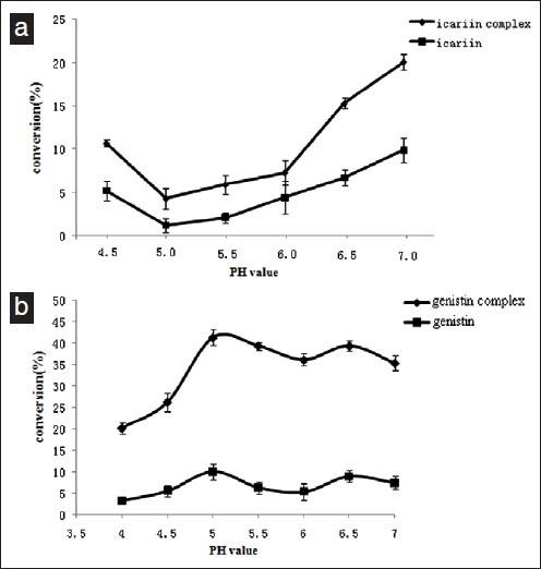
The solubility of icariin and genistein were increased almost 17 times from 29.2 μg/ml to 513.5 μg/ml at 60°C and 28 times from 7.78 μg/ml to 221.46 μg/ml at 50°C, respectively, demonstrating that the inclusion complex could significantly increase the solubility of flavonoid glycosides. Under the optimal conditions, the reaction time of icariin and genistin decreased by 68% and 145%, when compared with that without β-CD inclusion. By using this enzymatic condition, 473 mg icaritin (with the purity of 99.34%) and 567 mg genistein(with the purity of 99.46%), which was finally determined by melt point, ESI-MS, UV, IR, (1)H NMR and (13)C NMR, was obtained eventually by transforming the inclusion complex(contains 1.0 g substrates).

CONCLUSION

This study can clearly indicate a new attempt to improve the speed of enzyme-hydrolysis of poorly water-soluble flavonoid glycosides and find a more superior condition which is used to prepare icaritin and genistein.

摘要

背景

淫羊藿苷和染料木黄酮在药材中的含量很低,大量制备对于广泛的药理研究来说是一个重要问题。

目的

本研究聚焦于黄酮苷/β-环糊精包合物的制备及酶解,以提高水解率。

材料与方法

采用差示扫描量热法(DSC)检测新制备包合物的物理性质。通过单因素实验设计优化黄酮苷/β-环糊精包合物生物转化的酶解条件。实验以淫羊藿苷和染料木黄酮作为模型药物。

结果

淫羊藿苷和染料木黄酮的溶解度在60℃时分别从29.2μg/ml增加到513.5μg/ml,几乎增加了17倍;在50℃时分别从7.78μg/ml增加到221.46μg/ml,增加了28倍,表明包合物可显著提高黄酮苷的溶解度。在最佳条件下,与无β-环糊精包合相比,淫羊藿苷和染料木苷的反应时间分别缩短了68%和145%。采用该酶解条件,通过转化包合物(含1.0g底物)最终得到473mg淫羊藿素(纯度99.34%)和567mg染料木黄酮(纯度99.46%),最终通过熔点、电喷雾质谱、紫外、红外、氢核磁共振和碳核磁共振确定。

结论

本研究可为提高难溶性黄酮苷的酶解速度提供新尝试,并找到制备淫羊藿素和染料木黄酮的更优条件。

https://cdn.ncbi.nlm.nih.gov/pmc/blobs/9e8c/3798134/fc5eb7e219a3/PM-9-11-g001.jpg

文献AI研究员

20分钟写一篇综述,助力文献阅读效率提升50倍。

立即体验

用中文搜PubMed

大模型驱动的PubMed中文搜索引擎

马上搜索

文档翻译

学术文献翻译模型,支持多种主流文档格式。

立即体验