Suppr超能文献

根据乳腺癌亚型,白细胞介素-6、白细胞介素-8 和瘦素水平的预后作用。

Prognostic role of interleukin-6, interleukin-8, and leptin levels according to breast cancer subtype.

机构信息

Molecular Epidemiology Branch, National Cancer Center, Goyang, Korea.

出版信息

Cancer Res Treat. 2013 Sep;45(3):210-9. doi: 10.4143/crt.2013.45.3.210. Epub 2013 Sep 30.

Abstract

PURPOSE

Inflammation within the tumor microenvironment has been reported to show an association with poor prognosis in breast cancer. However, the associations may differ according to breast cancer subtype. In this study, we investigated the association between inflammation-related markers and breast cancer recurrence according to patients' tumor subtypes.

MATERIALS AND METHODS

This prospective study included 240 patients who underwent surgery for management of newly diagnosed breast cancer. Levels of inflammation-related markers (interleukin [IL]-1β, IL-6, IL-8, monocyte chemoattractant protein-1 [MCP-1], leptin, and adiponectin) were measured at diagnosis, and the associations between these markers and breast cancer recurrence during a six-year follow-up period were examined using the Kaplan-Meier statistical method.

RESULTS

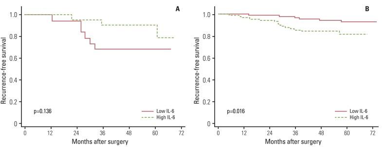
Overall, inflammation-related markers showed no association with breast cancer recurrence. However, when data were stratified by tumor subtype, higher levels of some mediators showed an association with poor prognosis among patients with particular subtypes. Compared to patients without recurrence, patients with recurrence had higher levels of circulating IL-6 (p=0.024) and IL-8 (p=0.016) only among those with HER2(-) tumors and had higher levels of leptin (p=0.034) only among those with estrogen receptor (ER)(+)/progesterone receptor (PR)(+) tumors. Results of survival analyses revealed an association of high levels of IL-6 (p=0.016) and IL-8 (p=0.022) with poor recurrence-free survival in patients with HER2(-) tumors. In addition, higher leptin levels indicated shorter recurrence-free survival time only among patients with ER(+)/PR(+) tumors (p=0.022).

CONCLUSION

We found that certain cytokines could have a differential prognostic impact on breast cancer recurrence according to breast cancer subtype. Conduct of additional large studies will be required in order to elucidate the precise roles of these cytokines in breast cancer progression.

摘要

目的

据报道,肿瘤微环境中的炎症与乳腺癌的预后不良有关。然而,这些关联可能因乳腺癌亚型而异。在本研究中,我们根据患者的肿瘤亚型,研究了炎症相关标志物与乳腺癌复发之间的关系。

材料和方法

这项前瞻性研究纳入了 240 名接受手术治疗新诊断乳腺癌的患者。在诊断时测量了炎症相关标志物(白细胞介素[IL]-1β、IL-6、IL-8、单核细胞趋化蛋白-1[MCP-1]、瘦素和脂联素)的水平,并使用 Kaplan-Meier 统计方法检查了这些标志物与 6 年随访期间乳腺癌复发之间的关系。

结果

总体而言,炎症相关标志物与乳腺癌复发无关联。然而,当根据肿瘤亚型对数据进行分层时,一些介质水平较高与某些特定亚型患者的不良预后有关。与无复发患者相比,HER2(-)肿瘤患者中,复发患者的循环 IL-6(p=0.024)和 IL-8(p=0.016)水平较高,而 ER(+)/PR(+)肿瘤患者中,复发患者的瘦素(p=0.034)水平较高。生存分析结果显示,HER2(-)肿瘤患者中,高水平的 IL-6(p=0.016)和 IL-8(p=0.022)与无复发生存率较差相关。此外,仅在 ER(+)/PR(+)肿瘤患者中,较高的瘦素水平预示着较短的无复发生存时间(p=0.022)。

结论

我们发现,某些细胞因子根据乳腺癌亚型对乳腺癌复发可能具有不同的预后影响。需要进行更多的大型研究,以阐明这些细胞因子在乳腺癌进展中的精确作用。

https://cdn.ncbi.nlm.nih.gov/pmc/blobs/ad62/3804733/30cb08a807f1/crt-45-210-g001.jpg

文献AI研究员

20分钟写一篇综述,助力文献阅读效率提升50倍。

立即体验

用中文搜PubMed

大模型驱动的PubMed中文搜索引擎

马上搜索

文档翻译

学术文献翻译模型,支持多种主流文档格式。

立即体验