• 文献检索
  • 文档翻译
  • 深度研究
  • 学术资讯
  • Suppr Zotero 插件Zotero 插件
  • 邀请有礼
  • 套餐&价格
  • 历史记录
应用&插件
Suppr Zotero 插件Zotero 插件浏览器插件Mac 客户端Windows 客户端微信小程序
定价
高级版会员购买积分包购买API积分包
服务
文献检索文档翻译深度研究API 文档MCP 服务
关于我们
关于 Suppr公司介绍联系我们用户协议隐私条款
关注我们

Suppr 超能文献

核心技术专利:CN118964589B侵权必究
粤ICP备2023148730 号-1Suppr @ 2026

文献检索

告别复杂PubMed语法,用中文像聊天一样搜索,搜遍4000万医学文献。AI智能推荐,让科研检索更轻松。

立即免费搜索

文件翻译

保留排版,准确专业,支持PDF/Word/PPT等文件格式,支持 12+语言互译。

免费翻译文档

深度研究

AI帮你快速写综述,25分钟生成高质量综述,智能提取关键信息,辅助科研写作。

立即免费体验

食管听诊器和无线蓝牙传输测量的血压与 S1 到 S2 比值的相关性。

Correlation of blood pressure and the ratio of S1 to S2 as measured by esophageal stethoscope and wireless bluetooth transmission.

机构信息

Kyoung Hoon Lim, Department of Anesthesiology and Pain Medicine, Chungbuk National University Hospital, Republic of Korea.

Young Duck Shin, Department of Anesthesiology and Pain Medicine, Chungbuk National University Hospital, Republic of Korea.

出版信息

Pak J Med Sci. 2013 Jul;29(4):1023-7. doi: 10.12669/pjms.294.3639.

DOI:10.12669/pjms.294.3639
PMID:24353680
原文链接:https://pmc.ncbi.nlm.nih.gov/articles/PMC3817770/
Abstract

UNLABELLED

Objective : Esophageal stethoscope has the advantage of being non-invasive, easily placed and capability to monitor the heart sound. This study was designed to determine whether the ratio of S1 to S2 analyzed by esophageal stethoscope and wireless bluetooth transmission can be accurate indicator that express the correlation with blood pressure.

METHODS

Total 33 adult male and female without cardiac disorder and with normal heart rhythm were selected randomly as the subjects of this Study. Two microphones were used with one for acquisition of heart sound by connecting it to the esophageal stethoscope while the other was used to measure the background noise in the operating room. After having transmitted the heart sound measured with the esophageal stethoscope to the receiver by using bluetooth module, it was saved in PC and outputted, following removal of noise in the operating room and the respiratory sound. S1 and S2 were measured with computation of the ratio of S1 to S2. Correlations between the systolic blood pressure with each of the S1, S2 and ratio of S1 to S2 were examined by using correlation analysis.

RESULTS

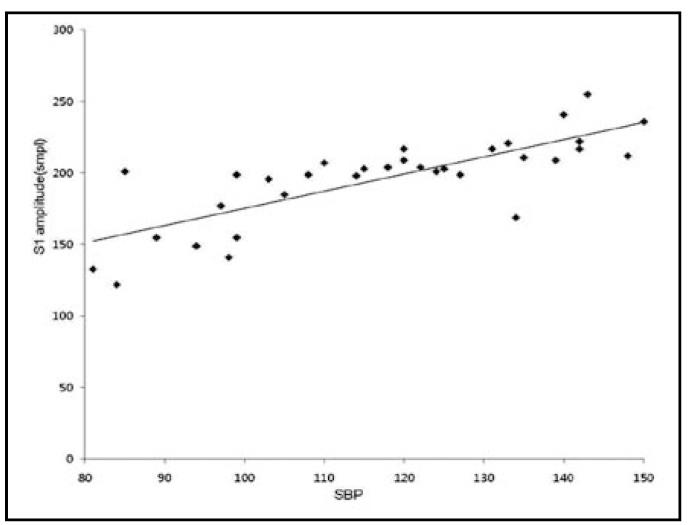
The ratio of S1 to S2 displayed the highest correlation with the systolic blood pressure, with S1 and S2 also displaying positive correlation with the systolic blood pressure.

CONCLUSION

As the result of analysis of the heart sound and the systolic blood pressure measured by using the esophageal stethoscope, the radio of S1 to S2 displayed greater correlation with the systolic blood pressure in comparison to the S1.

摘要

目的

食管听诊器具有非侵入性、易于放置和监测心音的优点。本研究旨在确定通过食管听诊器和无线蓝牙传输分析的 S1 与 S2 的比值是否可以作为表达与血压相关的准确指标。

方法

本研究共纳入 33 名无心脏疾病且心律正常的成年男性和女性作为研究对象。使用两个麦克风,一个用于通过连接食管听诊器获取心音,另一个用于测量手术室的背景噪声。使用蓝牙模块将食管听诊器测量的心音传输到接收器后,将其保存到 PC 中,并在去除手术室和呼吸音的噪声后输出。计算 S1 与 S2 的比值。使用相关分析检查收缩压与 S1、S2 和 S1 与 S2 的比值之间的相关性。

结果

S1 与 S2 的比值与收缩压相关性最高,S1 和 S2 与收缩压也呈正相关。

结论

通过使用食管听诊器测量心音和收缩压的分析,S1 与 S2 的比值与收缩压的相关性大于 S1。

https://cdn.ncbi.nlm.nih.gov/pmc/blobs/aa32/3817770/00cc8f367282/pjms-29-1023-g004.jpg
https://cdn.ncbi.nlm.nih.gov/pmc/blobs/aa32/3817770/e159699e5cee/pjms-29-1023-g001.jpg
https://cdn.ncbi.nlm.nih.gov/pmc/blobs/aa32/3817770/e076edd3bc32/pjms-29-1023-g002.jpg
https://cdn.ncbi.nlm.nih.gov/pmc/blobs/aa32/3817770/55c601260b4e/pjms-29-1023-g003.jpg
https://cdn.ncbi.nlm.nih.gov/pmc/blobs/aa32/3817770/00cc8f367282/pjms-29-1023-g004.jpg
https://cdn.ncbi.nlm.nih.gov/pmc/blobs/aa32/3817770/e159699e5cee/pjms-29-1023-g001.jpg
https://cdn.ncbi.nlm.nih.gov/pmc/blobs/aa32/3817770/e076edd3bc32/pjms-29-1023-g002.jpg
https://cdn.ncbi.nlm.nih.gov/pmc/blobs/aa32/3817770/55c601260b4e/pjms-29-1023-g003.jpg
https://cdn.ncbi.nlm.nih.gov/pmc/blobs/aa32/3817770/00cc8f367282/pjms-29-1023-g004.jpg

相似文献

1
Correlation of blood pressure and the ratio of S1 to S2 as measured by esophageal stethoscope and wireless bluetooth transmission.食管听诊器和无线蓝牙传输测量的血压与 S1 到 S2 比值的相关性。
Pak J Med Sci. 2013 Jul;29(4):1023-7. doi: 10.12669/pjms.294.3639.
2
Heart sounds analysis via esophageal stethoscope system in beagles.经食管听诊系统对比格犬心音的分析。
J Clin Monit Comput. 2013 Oct;27(5):535-9. doi: 10.1007/s10877-013-9459-0. Epub 2013 Mar 26.
3
The correlation between the first heart sound and cardiac output as measured by using digital esophageal stethoscope under anaesthesia.麻醉下应用数字食管听诊器测量第一心音与心输出量的相关性。
Pak J Med Sci. 2014 Mar;30(2):276-81.
4
Esophageal stethoscope placement depth: its effect on heart and lung sound monitoring during general anesthesia.食管听诊器放置深度:其对全身麻醉期间心肺音监测的影响。
Anesth Analg. 1998 Jun;86(6):1276-9. doi: 10.1097/00000539-199806000-00027.
5
Development of a Finger-Ring-Shaped Hybrid Smart Stethoscope for Automatic S1 and S2 Heart Sound Identification.研发指环式混合智能听诊器以实现自动 S1 和 S2 心音识别。
Sensors (Basel). 2021 Sep 20;21(18):6294. doi: 10.3390/s21186294.
6
Heart and Lung Sound Measurement Using an Esophageal Stethoscope with Adaptive Noise Cancellation.使用具有自适应噪声消除功能的食管听诊器进行心肺音测量。
Sensors (Basel). 2021 Oct 12;21(20):6757. doi: 10.3390/s21206757.
7
Detection and localization of S and S heart sounds by 3rd order normalized average Shannon energy envelope algorithm.采用三阶归一化平均 Shannon 能量包络算法检测和定位 S 和 S2 心音。
Proc Inst Mech Eng H. 2021 Jun;235(6):615-624. doi: 10.1177/0954411921998108. Epub 2021 Mar 30.
8
S1 and S2 Heart Sound Recognition Using Deep Neural Networks.基于深度神经网络的第一心音和第二心音识别
IEEE Trans Biomed Eng. 2017 Feb;64(2):372-380. doi: 10.1109/TBME.2016.2559800.
9
The Utility of Real-Time Remote Auscultation Using a Bluetooth-Connected Electronic Stethoscope: Open-Label Randomized Controlled Pilot Trial.使用蓝牙连接电子听诊器进行实时远程听诊的效用:开放标签随机对照初步试验。
JMIR Mhealth Uhealth. 2021 Jul 27;9(7):e23109. doi: 10.2196/23109.
10
A Wireless Electronic Esophageal Stethoscope for Continuous Monitoring of Cardiovascular and Respiratory Systems during Anaesthesia.一种用于麻醉期间连续监测心血管和呼吸系统的无线电子食管听诊器。
J Biomed Phys Eng. 2017 Mar 1;7(1):69-78. eCollection 2017 Mar.

引用本文的文献

1
Enhancement of phonocardiogram segmentation using convolutional neural networks with Fourier transform module.使用带有傅里叶变换模块的卷积神经网络增强心音图分割
Biomed Eng Lett. 2025 Jan 31;15(2):401-413. doi: 10.1007/s13534-025-00458-8. eCollection 2025 Mar.
2
Correlations between heart sound components and hemodynamic variables.心音成分与血流动力学变量的相关性。
Sci Rep. 2024 Apr 13;14(1):8602. doi: 10.1038/s41598-024-59362-3.
3
Use of proposed systolic and myocardial performance indices derived from simultaneous ECG and PCG recordings to assess cardiac function in healthy Beagles.

本文引用的文献

1
Sound recording and digital phonocardiography of cardiac murmurs in dogs by using a sensor-based electronic stethoscope.使用基于传感器的电子听诊器对犬心脏杂音进行录音和数字心音图检查。
Acta Vet Hung. 2011 Mar;59(1):23-35. doi: 10.1556/AVet.59.2011.1.3.
2
Technology for enhancing chest auscultation in clinical simulation.增强临床模拟中胸部听诊的技术。
Respir Care. 2011 Jun;56(6):834-45. doi: 10.4187/respcare.01072. Epub 2011 Feb 11.
3
Acoustic cardiographic indices of transmyocardial ischemia during percutaneous coronary intervention.
利用从同步心电图和心音图记录中得出的拟议收缩期和心肌性能指标评估健康比格犬的心脏功能。
Vet World. 2022 Jul;15(7):1785-1797. doi: 10.14202/vetworld.2022.1785-1797. Epub 2022 Jul 25.
4
[Recognition of S1 and S2 heart sounds with two-stream convolutional neural networks].[使用双流卷积神经网络识别第一心音和第二心音]
Sheng Wu Yi Xue Gong Cheng Xue Za Zhi. 2021 Feb 25;38(1):138-144. doi: 10.7507/1001-5515.201909071.
5
[Research on prediction method of left ventricular blood pressure based on external heart sounds].基于体外心音的左心室血压预测方法研究
Sheng Wu Yi Xue Gong Cheng Xue Za Zhi. 2017 Jun 1;34(3):335-341. doi: 10.7507/1001-5515.201606068.
经皮冠状动脉介入治疗期间心肌透壁缺血的声学心动图指标。
Acute Card Care. 2011 Mar;13(1):3-8. doi: 10.3109/17482941.2010.532222. Epub 2011 Jan 18.
4
Esophageal stethoscope: an old tool with a new role, detection of residual flow during video-assisted thoracoscopic patent ductus arteriosus closure.食管听诊器:一种具有新作用的旧工具,可在胸腔镜辅助动脉导管未闭封堵术中检测残余分流。
J Pediatr Surg. 2010 Nov;45(11):2141-5. doi: 10.1016/j.jpedsurg.2010.07.017.
5
The amplitude ratio of the first to second heart sound is reduced in left ventricular systolic dysfunction.第一心音与第二心音的振幅比值降低见于左心室收缩功能障碍。
Int J Cardiol. 2010 Nov 5;145(1):133-5. doi: 10.1016/j.ijcard.2009.06.060. Epub 2009 Jul 24.
6
Esophageal stethoscope in thoracoscopic interruption of patent ductus arteriosus.胸腔镜下动脉导管未闭阻断术中的食管听诊器
Asian Cardiovasc Thorac Ann. 2008 Aug;16(4):288-91. doi: 10.1177/021849230801600406.
7
Heart failure in patients with preserved and deteriorated left ventricular ejection fraction.左心室射血分数保留和降低的患者的心力衰竭
Heart. 2005 Apr;91(4):489-94. doi: 10.1136/hrt.2003.031922.
8
HEMODYNAMIC DETERMINANTS OF THE AMPLITUDE OF THE FIRST HEART SOUND.第一心音振幅的血流动力学决定因素
Circ Res. 1965 Jan;16:45-57. doi: 10.1161/01.res.16.1.45.
9
The effect of halothane on the amplitude and frequency characteristics of heart sounds in children.氟烷对儿童心音振幅和频率特性的影响。
Anesth Analg. 1999 Feb;88(2):263-7. doi: 10.1097/00000539-199902000-00007.
10
Esophageal stethoscope placement depth: its effect on heart and lung sound monitoring during general anesthesia.食管听诊器放置深度:其对全身麻醉期间心肺音监测的影响。
Anesth Analg. 1998 Jun;86(6):1276-9. doi: 10.1097/00000539-199806000-00027.