Suppr超能文献

桑叶的代谢作用:探索其在 2 型糖尿病和高尿酸血症中的潜在益处。

Metabolic effects of mulberry leaves: exploring potential benefits in type 2 diabetes and hyperuricemia.

机构信息

Institute of Pharmacognosy, Faculty of Pharmacy, University of Szeged, Eötvös u. 6, Szeged 6720, Hungary.

Department of Pharmacodynamics and Biopharmacy, Faculty of Pharmacy, University of Szeged, Eötvös u. 6, Szeged 6720, Hungary.

出版信息

Evid Based Complement Alternat Med. 2013;2013:948627. doi: 10.1155/2013/948627. Epub 2013 Dec 5.

Abstract

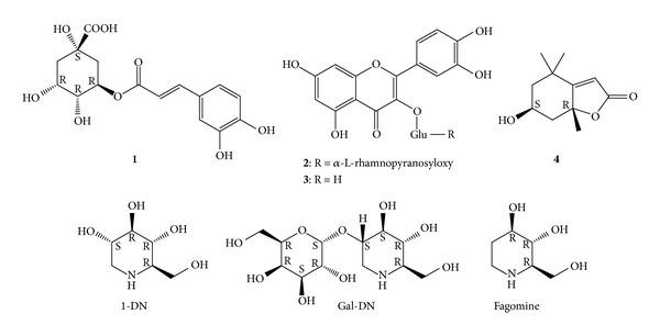
The leaves of Morus alba L. have a long history in Traditional Chinese Medicine and also became valued by the ethnopharmacology of many other cultures. The worldwide known antidiabetic use of the drug has been suggested to arise from a complex combination effect of various constituents. Moreover, the drug is also a potential antihyperuricemic agent. Considering that type 2 diabetes and hyperuricemia are vice-versa in each other's important risk factors, the use of mulberry originated phytotherapeutics might provide an excellent option for the prevention and/or treatment of both conditions. Here we report a series of relevant in vitro and in vivo studies on the bioactivity of an extract of mulberry leaves and its fractions obtained by a stepwise gradient on silica gel. In vivo antihyperglycemic and antihyperuricemic activity, plasma antioxidant status, as well as in vitro glucose consumption by adipocytes in the presence or absence of insulin, xanthine oxidase inhibition, free radical scavenging activity, and inhibition of lipid peroxidation were tested. Known bioactive constituents of M. alba (chlorogenic acid, rutin, isoquercitrin, and loliolide) were identified and quantified from the HPLC-DAD fingerprint chromatograms. Iminosugar contents were investigated by MS/MS, 1-deoxynojirimycin was quantified, and amounts of 2-O-alpha-D-galactopyranosyl-1-deoxynojirimicin and fagomine were additionally estimated.

摘要

桑树叶在中药中历史悠久,也受到许多其他文化民族药理学的重视。该药物的全球公认的降血糖作用被认为是各种成分的复杂组合效应所致。此外,该药物也是一种有潜力的抗高尿酸血症药物。考虑到 2 型糖尿病和高尿酸血症互为彼此的重要危险因素,使用桑属植物药可能为预防和/或治疗这两种疾病提供了一个绝佳的选择。在此,我们报告了一系列关于桑叶提取物及其在硅胶上用逐步梯度法获得的级分的生物活性的体外和体内研究。在体内进行了降血糖和降血尿酸活性、血浆抗氧化状态以及在存在或不存在胰岛素的情况下脂肪细胞的葡萄糖消耗、黄嘌呤氧化酶抑制、自由基清除活性和抑制脂质过氧化的测试。从 HPLC-DAD 指纹图谱中鉴定并定量了已知的 M. alba 的生物活性成分(绿原酸、芦丁、异槲皮苷和洛洛内酯)。通过 MS/MS 研究了亚氨基糖的含量,定量了 1-去氧野尻霉素,并额外估计了 2-O-α-D-吡喃半乳糖基-1-去氧野尻霉素和法格明的含量。

https://cdn.ncbi.nlm.nih.gov/pmc/blobs/8450/3870074/795387da60e6/ECAM2013-948627.001.jpg

文献AI研究员

20分钟写一篇综述,助力文献阅读效率提升50倍。

立即体验

用中文搜PubMed

大模型驱动的PubMed中文搜索引擎

马上搜索

文档翻译

学术文献翻译模型,支持多种主流文档格式。

立即体验