• 文献检索
  • 文档翻译
  • 深度研究
  • 学术资讯
  • Suppr Zotero 插件Zotero 插件
  • 邀请有礼
  • 套餐&价格
  • 历史记录
应用&插件
Suppr Zotero 插件Zotero 插件浏览器插件Mac 客户端Windows 客户端微信小程序
定价
高级版会员购买积分包购买API积分包
服务
文献检索文档翻译深度研究API 文档MCP 服务
关于我们
关于 Suppr公司介绍联系我们用户协议隐私条款
关注我们

Suppr 超能文献

核心技术专利:CN118964589B侵权必究
粤ICP备2023148730 号-1Suppr @ 2026

文献检索

告别复杂PubMed语法,用中文像聊天一样搜索,搜遍4000万医学文献。AI智能推荐,让科研检索更轻松。

立即免费搜索

文件翻译

保留排版,准确专业,支持PDF/Word/PPT等文件格式,支持 12+语言互译。

免费翻译文档

深度研究

AI帮你快速写综述,25分钟生成高质量综述,智能提取关键信息,辅助科研写作。

立即免费体验

利用加拿大亚麻(Linum usitatissimum L.)核心种质对种子品质性状进行关联分析。

Association mapping of seed quality traits using the Canadian flax (Linum usitatissimum L.) core collection.

作者信息

Soto-Cerda Braulio J, Duguid Scott, Booker Helen, Rowland Gordon, Diederichsen Axel, Cloutier Sylvie

机构信息

Department of Plant Science, University of Manitoba, 66 Dafoe Road, Winnipeg, MB, R3T 2N2, Canada.

出版信息

Theor Appl Genet. 2014 Apr;127(4):881-96. doi: 10.1007/s00122-014-2264-4. Epub 2014 Jan 26.

DOI:10.1007/s00122-014-2264-4
PMID:24463785
原文链接:https://pmc.ncbi.nlm.nih.gov/articles/PMC3964306/
Abstract

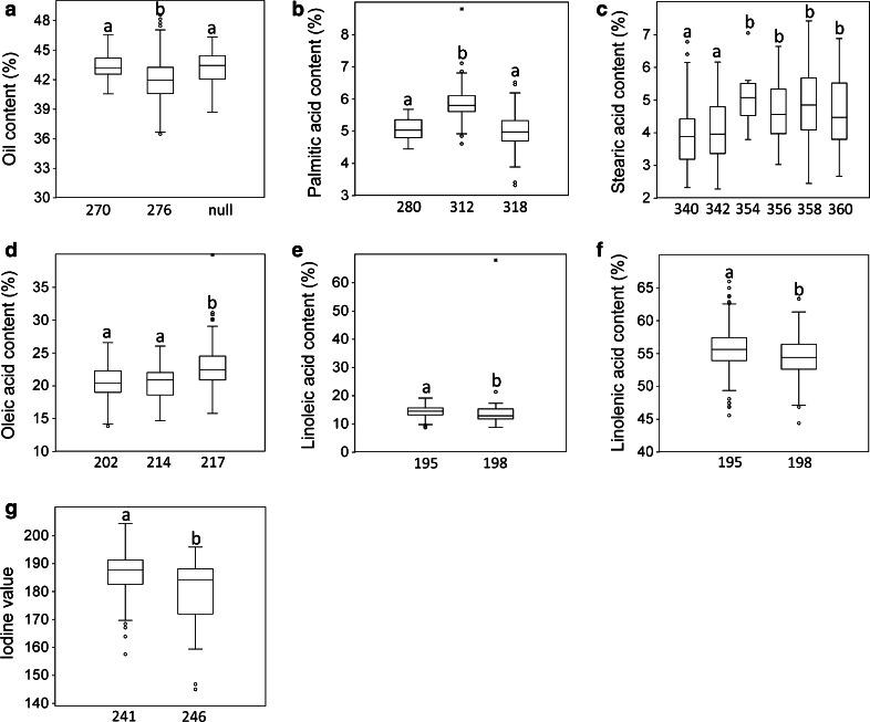
The identification of stable QTL for seed quality traits by association mapping of a diverse panel of linseed accessions establishes the foundation for assisted breeding and future fine mapping in linseed. Linseed oil is valued for its food and non-food applications. Modifying its oil content and fatty acid (FA) profiles to meet market needs in a timely manner requires clear understanding of their quantitative trait loci (QTL) architectures, which have received little attention to date. Association mapping is an efficient approach to identify QTL in germplasm collections. In this study, we explored the quantitative nature of seed quality traits including oil content (OIL), palmitic acid, stearic acid, oleic acid, linoleic acid (LIO) linolenic acid (LIN) and iodine value in a flax core collection of 390 accessions assayed with 460 microsatellite markers. The core collection was grown in a modified augmented design at two locations over 3 years and phenotypic data for all seven traits were obtained from all six environments. Significant phenotypic diversity and moderate to high heritability for each trait (0.73-0.99) were observed. Most of the candidate QTL were stable as revealed by multivariate analyses. Nine candidate QTL were identified, varying from one for OIL to three for LIO and LIN. Candidate QTL for LIO and LIN co-localized with QTL previously identified in bi-parental populations and some mapped nearby genes known to be involved in the FA biosynthesis pathway. Fifty-eight percent of the QTL alleles were absent (private) in the Canadian cultivars suggesting that the core collection possesses QTL alleles potentially useful to improve seed quality traits. The candidate QTL identified herein will establish the foundation for future marker-assisted breeding in linseed.

摘要

通过对不同亚麻籽种质资源进行关联分析来鉴定种子品质性状的稳定QTL,为亚麻籽的辅助育种和未来的精细定位奠定了基础。亚麻籽油因其食品和非食品应用而受到重视。及时改变其油含量和脂肪酸(FA)组成以满足市场需求,需要清楚了解其数量性状位点(QTL)结构,而目前这方面受到的关注较少。关联分析是在种质资源库中鉴定QTL的有效方法。在本研究中,我们利用460个微卫星标记对390份亚麻核心种质进行分析,探究了包括油含量(OIL)、棕榈酸、硬脂酸、油酸、亚油酸(LIO)、亚麻酸(LIN)和碘值在内的种子品质性状的数量特征。核心种质在改良的增广设计下于两个地点种植了3年,并从所有六个环境中获得了所有七个性状的表型数据。观察到每个性状都有显著的表型多样性和中等到高的遗传力(0.73 - 0.99)。多变量分析显示,大多数候选QTL是稳定的。共鉴定出9个候选QTL,从油含量的1个到亚油酸和亚麻酸的3个不等。亚油酸和亚麻酸的候选QTL与先前在双亲群体中鉴定的QTL共定位,并且一些位于已知参与FA生物合成途径的附近基因处。58%的QTL等位基因在加拿大品种中不存在(私有),这表明核心种质拥有可能有助于改善种子品质性状的QTL等位基因。本文鉴定的候选QTL将为亚麻籽未来的标记辅助育种奠定基础。

https://cdn.ncbi.nlm.nih.gov/pmc/blobs/7532/3964306/fe7093163f08/122_2014_2264_Fig3_HTML.jpg
https://cdn.ncbi.nlm.nih.gov/pmc/blobs/7532/3964306/0c9fde582999/122_2014_2264_Fig1a_HTML.jpg
https://cdn.ncbi.nlm.nih.gov/pmc/blobs/7532/3964306/1fdd8180c7e2/122_2014_2264_Fig2_HTML.jpg
https://cdn.ncbi.nlm.nih.gov/pmc/blobs/7532/3964306/fe7093163f08/122_2014_2264_Fig3_HTML.jpg
https://cdn.ncbi.nlm.nih.gov/pmc/blobs/7532/3964306/0c9fde582999/122_2014_2264_Fig1a_HTML.jpg
https://cdn.ncbi.nlm.nih.gov/pmc/blobs/7532/3964306/1fdd8180c7e2/122_2014_2264_Fig2_HTML.jpg
https://cdn.ncbi.nlm.nih.gov/pmc/blobs/7532/3964306/fe7093163f08/122_2014_2264_Fig3_HTML.jpg

相似文献

1
Association mapping of seed quality traits using the Canadian flax (Linum usitatissimum L.) core collection.利用加拿大亚麻(Linum usitatissimum L.)核心种质对种子品质性状进行关联分析。
Theor Appl Genet. 2014 Apr;127(4):881-96. doi: 10.1007/s00122-014-2264-4. Epub 2014 Jan 26.
2
QTL for fatty acid composition and yield in linseed (Linum usitatissimum L.).亚麻籽(Linum usitatissimum L.)脂肪酸组成和产量的 QTL。
Theor Appl Genet. 2015 May;128(5):965-84. doi: 10.1007/s00122-015-2483-3. Epub 2015 Mar 8.
3
Genomic regions underlying agronomic traits in linseed (Linum usitatissimum L.) as revealed by association mapping.关联作图揭示亚麻(Linum usitatissimum L.)农艺性状的基因组区域。
J Integr Plant Biol. 2014 Jan;56(1):75-87. doi: 10.1111/jipb.12118.
4
Genome-Wide Association Study and Selection Signatures Detect Genomic Regions Associated with Seed Yield and Oil Quality in Flax.全基因组关联研究和选择特征检测与亚麻种子产量和油质相关的基因组区域。
Int J Mol Sci. 2018 Aug 6;19(8):2303. doi: 10.3390/ijms19082303.
5
Genetic characterization of a core collection of flax (Linum usitatissimum L.) suitable for association mapping studies and evidence of divergent selection between fiber and linseed types.亚麻(Linum usitatissimum L.)核心种质的遗传特征分析及其在纤维和油用型间的分歧选择证据适合于关联作图研究。
BMC Plant Biol. 2013 May 6;13:78. doi: 10.1186/1471-2229-13-78.
6
Consensus genetic linkage map construction and QTL mapping for plant height-related traits in linseed flax (Linum usitatissimum L.).共识遗传连锁图谱构建和亚麻(Linum usitatissimum L.)株高相关性状的 QTL 定位。
BMC Plant Biol. 2018 Aug 7;18(1):160. doi: 10.1186/s12870-018-1366-6.
7
Genomic Prediction Accuracy of Seven Breeding Selection Traits Improved by QTL Identification in Flax.通过 QTL 鉴定提高亚麻七种育种选择性状的基因组预测准确性。
Int J Mol Sci. 2020 Feb 25;21(5):1577. doi: 10.3390/ijms21051577.
8
Genetic dissection of flowering time in flax (Linum usitatissimum L.) through single- and multi-locus genome-wide association studies.通过单基因座和多基因座全基因组关联研究对亚麻(Linum usitatissimum L.)开花时间进行遗传剖析。
Mol Genet Genomics. 2021 Jul;296(4):877-891. doi: 10.1007/s00438-021-01785-y. Epub 2021 Apr 26.
9
Genome-Wide Association Analysis of Mucilage and Hull Content in Flax ( L.) Seeds.亚麻(Linum usitatissimum L.)种子中黏液和种皮含量的全基因组关联分析。
Int J Mol Sci. 2018 Sep 21;19(10):2870. doi: 10.3390/ijms19102870.
10
Construction of Genetic Map and QTL Mapping for Seed Size and Quality Traits in Soybean ( L.).大豆种子大小和品质性状的遗传图谱构建及QTL定位
Int J Mol Sci. 2024 Mar 1;25(5):2857. doi: 10.3390/ijms25052857.

引用本文的文献

1
Molecular Advances to Combat Different Biotic and Abiotic Stresses in Linseed ( L.): A Comprehensive Review.亚麻(Linseed)中应对不同生物和非生物胁迫的分子进展:综合评述。
Genes (Basel). 2023 Jul 17;14(7):1461. doi: 10.3390/genes14071461.
2
Diversity of genetic resources in global genebanks: from agro-morphological characterisation to novel genomic technologies - a review.全球基因库中遗传资源的多样性:从农业形态特征描述到新型基因组技术——综述
Front Nutr. 2023 Jun 1;10:1165580. doi: 10.3389/fnut.2023.1165580. eCollection 2023.
3
A LuALS Mutation with High Sulfonylurea Herbicide Resistance in L.

本文引用的文献

1
Genetic characterization of a core collection of flax (Linum usitatissimum L.) suitable for association mapping studies and evidence of divergent selection between fiber and linseed types.亚麻(Linum usitatissimum L.)核心种质的遗传特征分析及其在纤维和油用型间的分歧选择证据适合于关联作图研究。
BMC Plant Biol. 2013 May 6;13:78. doi: 10.1186/1471-2229-13-78.
2
Genome-wide association study dissects the genetic architecture of oil biosynthesis in maize kernels.全基因组关联研究剖析了玉米籽粒油脂生物合成的遗传结构。
Nat Genet. 2013 Jan;45(1):43-50. doi: 10.1038/ng.2484. Epub 2012 Dec 16.
3
Genome wide SNP discovery in flax through next generation sequencing of reduced representation libraries.
A LuALS Mutation with High Sulfonylurea Herbicide Resistance in L.
Int J Mol Sci. 2023 Feb 1;24(3):2820. doi: 10.3390/ijms24032820.
4
Genes Associated with the Flax Plant Type (Oil or Fiber) Identified Based on Genome and Transcriptome Sequencing Data.基于基因组和转录组测序数据鉴定出的与亚麻植株类型(油用或纤维用)相关的基因。
Plants (Basel). 2021 Nov 28;10(12):2616. doi: 10.3390/plants10122616.
5
Genetic dissection of flowering time in flax (Linum usitatissimum L.) through single- and multi-locus genome-wide association studies.通过单基因座和多基因座全基因组关联研究对亚麻(Linum usitatissimum L.)开花时间进行遗传剖析。
Mol Genet Genomics. 2021 Jul;296(4):877-891. doi: 10.1007/s00438-021-01785-y. Epub 2021 Apr 26.
6
Genome-wide identification and functional characterization of LEA genes during seed development process in linseed flax (Linum usitatissimum L.).亚麻(Linum usitatissimum L.)种子发育过程中 LEAs 基因的全基因组鉴定和功能特征分析。
BMC Plant Biol. 2021 Apr 21;21(1):193. doi: 10.1186/s12870-021-02972-0.
7
Loci harboring genes with important role in drought and related abiotic stress responses in flax revealed by multiple GWAS models.通过多种 GWAS 模型揭示了亚麻中具有重要抗旱和相关非生物胁迫响应功能的基因所在的基因座。
Theor Appl Genet. 2021 Jan;134(1):191-212. doi: 10.1007/s00122-020-03691-0. Epub 2020 Oct 12.
8
Mapping Quantitative Trait Loci onto Chromosome-Scale Pseudomolecules in Flax.将数量性状基因座定位到亚麻的染色体级假分子上。
Methods Protoc. 2020 Apr 4;3(2):28. doi: 10.3390/mps3020028.
9
Genomic Comparison and Population Diversity Analysis Provide Insights into the Domestication and Improvement of Flax.基因组比较和群体多样性分析为亚麻的驯化和改良提供了见解。
iScience. 2020 Apr 24;23(4):100967. doi: 10.1016/j.isci.2020.100967. Epub 2020 Mar 6.
10
Genome-Wide Association Studies for Pasmo Resistance in Flax (.).亚麻对叶锈病抗性的全基因组关联研究(.)
Front Plant Sci. 2019 Jan 14;9:1982. doi: 10.3389/fpls.2018.01982. eCollection 2018.
通过简化代表性文库的下一代测序在亚麻中进行全基因组 SNP 发现。
BMC Genomics. 2012 Dec 6;13:684. doi: 10.1186/1471-2164-13-684.
4
Integrated consensus genetic and physical maps of flax (Linum usitatissimum L.).亚麻(Linum usitatissimum L.)综合共识遗传和物理图谱。
Theor Appl Genet. 2012 Dec;125(8):1783-95. doi: 10.1007/s00122-012-1953-0. Epub 2012 Aug 14.
5
GenAlEx 6.5: genetic analysis in Excel. Population genetic software for teaching and research--an update.GenAlEx 6.5:Excel 中的遗传分析。用于教学和研究的种群遗传软件--更新。
Bioinformatics. 2012 Oct 1;28(19):2537-9. doi: 10.1093/bioinformatics/bts460. Epub 2012 Jul 20.
6
Principal components analysis of population admixture.群体混合的主成分分析。
PLoS One. 2012;7(7):e40115. doi: 10.1371/journal.pone.0040115. Epub 2012 Jul 9.
7
The role of genomics and biotechnology in achieving global food security for high-oleic vegetable oil.基因组学和生物技术在实现高油酸植物油全球粮食安全方面的作用。
J Oleo Sci. 2012;61(7):357-67. doi: 10.5650/jos.61.357.
8
The genome of flax (Linum usitatissimum) assembled de novo from short shotgun sequence reads.亚麻(Linum usitatissimum)从头组装的短 shotgun 序列读取的基因组。
Plant J. 2012 Nov;72(3):461-73. doi: 10.1111/j.1365-313X.2012.05093.x. Epub 2012 Aug 14.
9
Simple sequence repeat marker development from bacterial artificial chromosome end sequences and expressed sequence tags of flax (Linum usitatissimum L.).从亚麻(Linum usitatissimum L.)的细菌人工染色体末端序列和表达序列标签中开发简单重复序列标记。
Theor Appl Genet. 2012 Aug;125(4):685-94. doi: 10.1007/s00122-012-1860-4. Epub 2012 Apr 7.
10
Unraveling the complex trait of harvest index with association mapping in rice (Oryza sativa L.).利用关联作图解析水稻收获指数的复杂性状。
PLoS One. 2012;7(1):e29350. doi: 10.1371/journal.pone.0029350. Epub 2012 Jan 23.