Suppr超能文献

三十年之后传统耕作、免耕及森林演替条件下的土壤团聚体及相关有机质

Soil aggregates and associated organic matter under conventional tillage, no-tillage, and forest succession after three decades.

作者信息

Devine Scott, Markewitz Daniel, Hendrix Paul, Coleman David

机构信息

Warnell School of Forestry and Natural Resources, The University of Georgia, Athens, Georgia, United States of America.

Odum School of Ecology, The University of Georgia, Athens, Georgia, United States of America.

出版信息

PLoS One. 2014 Jan 20;9(1):e84988. doi: 10.1371/journal.pone.0084988. eCollection 2014.

Abstract

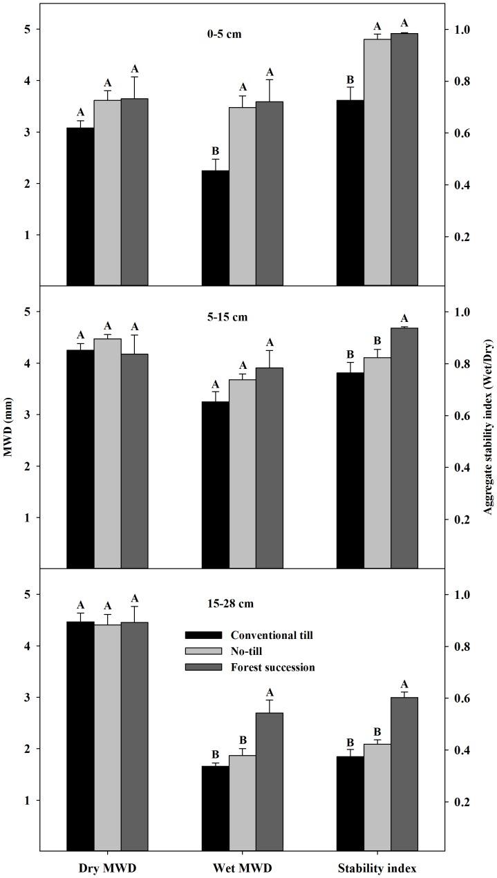
Impacts of land use on soil organic C (SOC) are of interest relative to SOC sequestration and soil sustainability. The role of aggregate stability in SOC storage under contrasting land uses has been of particular interest relative to conventional tillage (CT) and no-till (NT) agriculture. This study compares soil structure and SOC fractions at the 30-yr-old Horseshoe Bend Agroecosystem Experiment (HSB). This research is unique in comparing NT and CT with adjacent land concurrently undergoing forest succession (FS) and in sampling to depths (15-28 cm) previously not studied at HSB. A soil moving experiment (SME) was also undertaken to monitor 1-yr changes in SOC and aggregation. After 30 years, enhanced aggregate stability under NT compared to CT was limited to a depth of 5 cm, while enhanced aggregate stability under FS compared to CT occurred to a depth of 28 cm and FS exceeded NT from 5-28 cm. Increases in SOC concentrations generally followed the increases in stability, except that no differences in SOC concentration were observed from 15-28 cm despite greater aggregate stability. Land use differences in SOC were explained equally by differences in particulate organic carbon (POC) and in silt-clay associated fine C. Enhanced structural stability of the SME soil was observed under FS and was linked to an increase of 1 Mg SOC ha(-1) in 0-5 cm, of which 90% could be attributed to a POC increase. The crushing of macroaggregates in the SME soil also induced a 10% reduction in SOC over 1 yr that occurred under all three land uses from 5-15 cm. The majority of this loss was in the fine C fraction. NT and FS ecosystems had greater aggregation and carbon storage at the soil surface but only FS increased aggregation below the surface, although in the absence of increased carbon storage.

摘要

土地利用对土壤有机碳(SOC)的影响与SOC固存和土壤可持续性相关,备受关注。相对于传统耕作(CT)和免耕(NT)农业,团聚体稳定性在不同土地利用方式下SOC储存中的作用尤其受到关注。本研究比较了有30年历史的马蹄湾农业生态系统试验(HSB)中的土壤结构和SOC组分。本研究的独特之处在于,将NT和CT与同时经历森林演替(FS)的相邻土地进行比较,并对HSB此前未研究过的深度(15 - 28厘米)进行采样。还进行了一项土壤翻动实验(SME),以监测SOC和团聚体的1年变化情况。30年后,与CT相比,NT下团聚体稳定性增强仅限于5厘米深度,而与CT相比,FS下团聚体稳定性增强发生至28厘米深度,且FS在5 - 28厘米深度超过了NT。SOC浓度的增加通常随稳定性的增加而变化,但尽管团聚体稳定性更高,在15 - 28厘米深度未观察到SOC浓度差异。SOC的土地利用差异同样由颗粒有机碳(POC)和粉砂 - 粘土相关细碳的差异所解释。在FS下观察到SME土壤的结构稳定性增强,并且与0 - 5厘米深度SOC增加1 Mg ha⁻¹相关,其中90%可归因于POC增加。SME土壤中粗团聚体的破碎在1年中还导致所有三种土地利用方式下5 - 15厘米深度的SOC减少10%。这种损失的大部分存在于细碳组分中。NT和FS生态系统在土壤表层具有更大的团聚性和碳储存,但只有FS增加了表层以下的团聚性,尽管没有增加碳储存。

https://cdn.ncbi.nlm.nih.gov/pmc/blobs/9b5a/3896348/6ec6b993ef74/pone.0084988.g001.jpg

文献检索

告别复杂PubMed语法,用中文像聊天一样搜索,搜遍4000万医学文献。AI智能推荐,让科研检索更轻松。

立即免费搜索

文件翻译

保留排版,准确专业,支持PDF/Word/PPT等文件格式,支持 12+语言互译。

免费翻译文档

深度研究

AI帮你快速写综述,25分钟生成高质量综述,智能提取关键信息,辅助科研写作。

立即免费体验