Schrieks Ilse C, Stafleu Annette, Kallen Victor L, Grootjen Marc, Witkamp Renger F, Hendriks Henk F J
The Netherlands Organization for Applied Scientific Research, TNO, Zeist, The Netherlands ; Wageningen University, Wageningen, The Netherlands.
The Netherlands Organization for Applied Scientific Research, TNO, Zeist, The Netherlands.
PLoS One. 2014 Jan 21;9(1):e86199. doi: 10.1371/journal.pone.0086199. eCollection 2014.
The pre-drinking mood state has been indicated to be an important factor in the mood effects of alcohol. However, for moderate alcohol consumption there are no controlled studies showing this association. Also, the mood effects of consuming alcohol combined with food are largely unknown. The aim of this study was to investigate the effects of moderate alcohol combined with a meal on ambiance-induced mood states. Furthermore effects on autonomic nervous system activity were measured to explore physiological mechanisms that may be involved in changes of mood state.
In a crossover design 28 women (age 18-45 y, BMI 18.5-27 kg/m2) were randomly allocated to 4 conditions in which they received 3 glasses of sparkling white wine (30 g alcohol) or alcohol-free sparkling white wine while having dinner in a room with either a pleasant or unpleasant created ambiance. Subjects filled out questionnaires (B-BAES, POMS and postprandial wellness questionnaire) at different times. Skin conductance and heart rate variability were measured continuously.
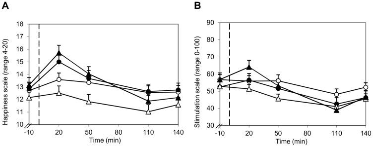
Moderate alcohol consumption increased happiness scores in the unpleasant, but not in the pleasant ambiance. Alcohol consumption increased happiness and stimulation feelings within 1 hour and increased sedative feelings and sleepiness for 2.5 hour. Skin conductance was increased after alcohol within 1 hour and was related to happiness and stimulation scores. Heart rate variability was decreased after alcohol for 2 hours and was related to mental alertness.
Mood inductions and autonomic nervous system parameters may be useful to evaluate mood changes by nutritional interventions. Moderate alcohol consumption elevates happiness scores in an unpleasant ambiance. However, drinking alcohol during a pleasant mood results in an equally positive mood state.
Clinicaltrials.gov NCT01426022.
饮酒前的情绪状态被认为是酒精对情绪产生影响的一个重要因素。然而,对于适度饮酒,尚无对照研究表明这种关联。此外,饮酒与食物一起摄入时对情绪的影响在很大程度上尚不明确。本研究的目的是调查适度饮酒并进食对环境诱导的情绪状态的影响。此外,还测量了对自主神经系统活动的影响,以探索可能与情绪状态变化有关的生理机制。
采用交叉设计,将28名女性(年龄18 - 45岁,体重指数18.5 - 27 kg/m²)随机分配到4种条件下,她们在有愉悦或不愉快营造氛围的房间里用餐时,分别饮用3杯起泡白葡萄酒(含30克酒精)或不含酒精的起泡白葡萄酒。受试者在不同时间填写问卷(B - BAES、POMS和餐后健康问卷)。连续测量皮肤电导率和心率变异性。
适度饮酒在不愉快氛围中提高了愉悦感评分,但在愉悦氛围中没有。饮酒后1小时内增加了愉悦感和兴奋感,并在2.5小时内增加了镇静感和困倦感。饮酒后1小时内皮肤电导率增加,且与愉悦感和兴奋感评分相关。饮酒后2小时内心率变异性降低,且与精神警觉性相关。
情绪诱导和自主神经系统参数可能有助于评估营养干预引起的情绪变化。适度饮酒在不愉快氛围中提高了愉悦感评分。然而,在愉悦情绪下饮酒也会导致同样积极的情绪状态。
Clinicaltrials.gov NCT01426022。