Miao Hongxia, Sun Peiguang, Liu Weixin, Xu Biyu, Jin Zhiqiang
Key Laboratory of Tropical Crop Biotechnology, Ministry of Agriculture, Institute of Tropical Bioscience and Biotechnology, China Academy of Tropical Agricultural Sciences, Haikou, Hainan, China.
Key Laboratory of Genetic Improvement of Bananas, Hainan Province, Haikou Experimental Station, China Academy of Tropical Agricultural Sciences, Haikou, Hainan, China.
PLoS One. 2014 Feb 4;9(2):e88077. doi: 10.1371/journal.pone.0088077. eCollection 2014.
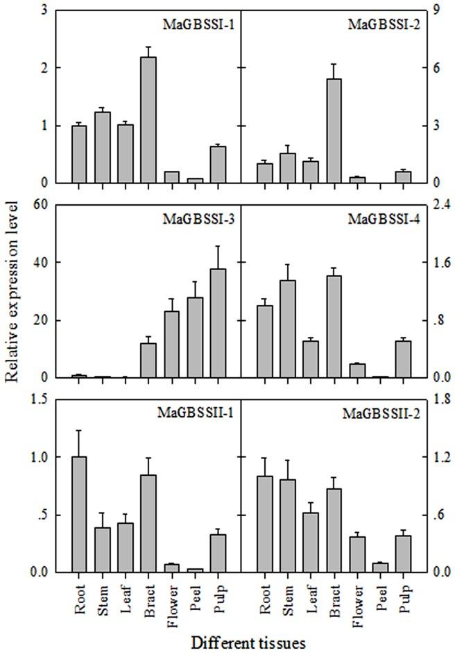
Granule-bound starch synthase (GBSS) is responsible for amylose synthesis, but the role of GBSS genes and their encoded proteins remains poorly understood in banana. In this study, amylose content and GBSS activity gradually increased during development of the banana fruit, and decreased during storage of the mature fruit. GBSS protein in banana starch granules was approximately 55.0 kDa. The protein was up-regulated expression during development while it was down-regulated expression during storage. Six genes, designated as MaGBSSI-1, MaGBSSI-2, MaGBSSI-3, MaGBSSI-4, MaGBSSII-1, and MaGBSSII-2, were cloned and characterized from banana fruit. Among the six genes, the expression pattern of MaGBSSI-3 was the most consistent with the changes in amylose content, GBSS enzyme activity, GBSS protein levels, and the quantity or size of starch granules in banana fruit. These results suggest that MaGBSSI-3 might regulate amylose metabolism by affecting the variation of GBSS levels and the quantity or size of starch granules in banana fruit during development or storage.
颗粒结合型淀粉合成酶(GBSS)负责直链淀粉的合成,但GBSS基因及其编码蛋白在香蕉中的作用仍知之甚少。在本研究中,香蕉果实发育过程中直链淀粉含量和GBSS活性逐渐增加,而成熟果实贮藏期间则下降。香蕉淀粉颗粒中的GBSS蛋白约为55.0 kDa。该蛋白在发育过程中表达上调,而在贮藏过程中表达下调。从香蕉果实中克隆并鉴定了6个基因,分别命名为MaGBSSI-1、MaGBSSI-2、MaGBSSI-3、MaGBSSI-4、MaGBSSII-1和MaGBSSII-2。在这6个基因中,MaGBSSI-3的表达模式与香蕉果实中直链淀粉含量、GBSS酶活性、GBSS蛋白水平以及淀粉颗粒数量或大小的变化最为一致。这些结果表明,MaGBSSI-3可能通过影响香蕉果实发育或贮藏期间GBSS水平以及淀粉颗粒数量或大小的变化来调控直链淀粉代谢。