Suppr超能文献

Poly(ADP-ribose)polymerase activity controls plant growth by promoting leaf cell number.

作者信息

Schulz Philipp, Jansseune Karel, Degenkolbe Thomas, Méret Michaël, Claeys Hannes, Skirycz Aleksandra, Teige Markus, Willmitzer Lothar, Hannah Matthew A

机构信息

Bayer CropScience NV, Innovation Center, Zwijnaarde, Belgium ; Department of Molecular Systems Biology (MOSYS), University of Vienna, Vienna, Austria.

Bayer CropScience NV, Innovation Center, Zwijnaarde, Belgium.

出版信息

PLoS One. 2014 Feb 28;9(2):e90322. doi: 10.1371/journal.pone.0090322. eCollection 2014.

Abstract

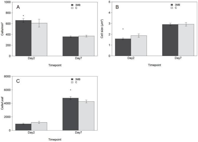
A changing global environment, rising population and increasing demand for biofuels are challenging agriculture and creating a need for technologies to increase biomass production. Here we demonstrate that the inhibition of poly (ADP-ribose) polymerase activity is a promising technology to achieve this under non-stress conditions. Furthermore, we investigate the basis of this growth enhancement via leaf series and kinematic cell analysis as well as single leaf transcriptomics and plant metabolomics under non-stress conditions. These data indicate a regulatory function of PARP within cell growth and potentially development. PARP inhibition enhances growth of Arabidopsis thaliana by enhancing the cell number. Time course single leaf transcriptomics shows that PARP inhibition regulates a small subset of genes which are related to growth promotion, cell cycle and the control of metabolism. This is supported by metabolite analysis showing overall changes in primary and particularly secondary metabolism. Taken together the results indicate a versatile function of PARP beyond its previously reported roles in controlling plant stress tolerance and thus can be a useful target for enhancing biomass production.

摘要
https://cdn.ncbi.nlm.nih.gov/pmc/blobs/db3d/3938684/1b0a2d358092/pone.0090322.g001.jpg

文献AI研究员

20分钟写一篇综述,助力文献阅读效率提升50倍。

立即体验

用中文搜PubMed

大模型驱动的PubMed中文搜索引擎

马上搜索

文档翻译

学术文献翻译模型,支持多种主流文档格式。

立即体验