Suppr超能文献

血清及胸腔积液中腺苷脱氨酶1-2和干扰素-γ水平在结核性胸膜炎诊断中的应用价值

Diagnostic utility of serum and pleural levels of adenosine deaminase 1-2, and interferon-γ in the diagnosis of pleural tuberculosis.

作者信息

Yurt Sibel, Küçükergin Canan, Yigitbas Burcu Arpinar, Seçkin Sule, Tigin Hüseyin Cem, Koşar Ayşe Filiz

机构信息

Department of Chest Diseases, Yedikule Chest Disease and Surgery Training and Research Hospital, Istanbul, Turkey.

出版信息

Multidiscip Respir Med. 2014 Mar 6;9(1):12. doi: 10.1186/2049-6958-9-12.

Abstract

BACKGROUND

To evaluate and compare the diagnostic efficiency of serum (s) and pleural (p) levels of adenosine deaminase (ADA)-1, ADA-2, total ADA, and interferon-gamma (IFN-γ) for the differential diagnosis of pleural tuberculosis (TB).

METHODS

Clinical and analytic data of 93 consecutive patients with pleural effusions from May 2012 to February 2013 were prospectively evaluated. The study population included 43 pleural TB, 23 malignancies, and 27 other exudates. The median and interquartile range of ADA-1, ADA-2, total ADA, and IFN-γ were evaluated according to their underlying diseases.

RESULTS

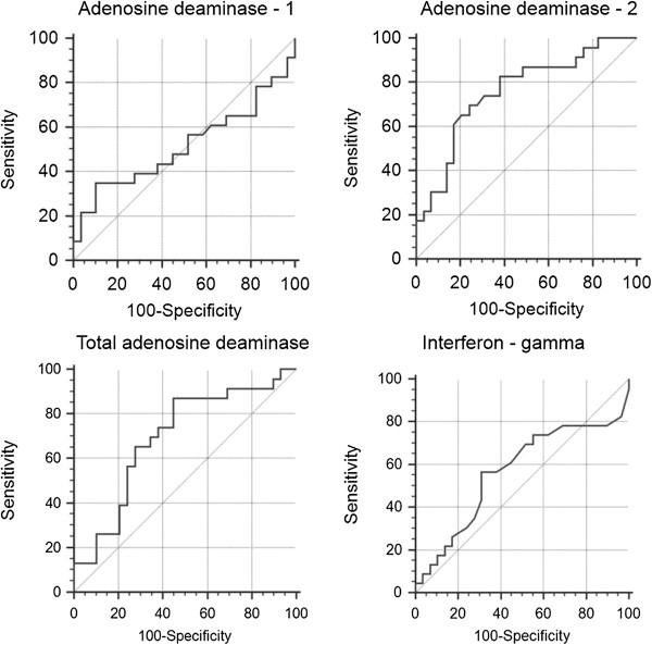
There were no significant differences in sADA-1 and sIFN-γ values among each group. pADA-1, pADA-2, total pADA, and pIFN-γ levels were significantly higher in patients with pleural TB than in other patients (p < 0.0001). As for pleural TB receiving operating characteristic (ROC) curves identified the following results. The best cut-off value for pADA-2 was 20.37 U/L and it yielded a sensitivity and specificity of 95.35% and 86%, respectively. Taking a cut-off value of 40.68 U/L for total pADA, the sensitivity and the specificity were found to be 88.37% and 88%, respectively. ROC curve identified 110 U/L as the best cut-off value for pμg/ml, while the sensitivity and the specificity were 74.42% and 68%, respectively. Finally, the best cut-off value for pADA-1 was 16.8 U/L and yielded a sensitivity and specificity of 69.77% and 68%, respectively.

CONCLUSIONS

To distinguish pleural TB, pleural levels of ADA-2 have the highest sensitivity among the different diagnostic parameters and may find a place as routine investigation for early detection of TB in the future.

摘要

背景

评估并比较血清(s)和胸腔积液(p)中腺苷脱氨酶(ADA)-1、ADA-2、总ADA以及干扰素-γ(IFN-γ)水平对胸腔结核(TB)的鉴别诊断效能。

方法

对2012年5月至2013年2月连续收治的93例胸腔积液患者的临床及分析数据进行前瞻性评估。研究人群包括43例胸腔结核、23例恶性肿瘤以及27例其他渗出液患者。根据基础疾病评估ADA-1、ADA-2、总ADA以及IFN-γ的中位数和四分位数间距。

结果

各组间血清ADA-1和血清IFN-γ值无显著差异。胸腔结核患者的胸腔ADA-1、ADA-2、总胸腔ADA以及胸腔IFN-γ水平显著高于其他患者(p < 0.0001)。对于胸腔结核,绘制操作特征(ROC)曲线得出以下结果。胸腔ADA-2的最佳截断值为20.37 U/L,其敏感性和特异性分别为95.35%和86%。总胸腔ADA的截断值为40.68 U/L时,敏感性和特异性分别为88.37%和88%。ROC曲线确定胸腔IFN-γ的最佳截断值为110 U/L,而敏感性和特异性分别为74.42%和68%。最后,胸腔ADA-1的最佳截断值为16.8 U/L,敏感性和特异性分别为69.77%和68%。

结论

为鉴别胸腔结核,在不同诊断参数中,胸腔ADA-2水平的敏感性最高,未来可能成为早期检测结核的常规检查项目。

https://cdn.ncbi.nlm.nih.gov/pmc/blobs/1a67/3978112/36e1799292cd/2049-6958-9-12-1.jpg

文献AI研究员

20分钟写一篇综述,助力文献阅读效率提升50倍。

立即体验

用中文搜PubMed

大模型驱动的PubMed中文搜索引擎

马上搜索

文档翻译

学术文献翻译模型,支持多种主流文档格式。

立即体验