Suppr超能文献

鉴定在不同人体组织中具有一致甲基化水平的基因。

Identification of genes with consistent methylation levels across different human tissues.

机构信息

1] YongLin Biomedical Engineering Center, National Taiwan University, Taipei, Taiwan [2] Bioinformatics and Biostatistics Core, Center of Genomic Medicine, National Taiwan University, Taipei, Taiwan.

Bioinformatics and Biostatistics Core, Center of Genomic Medicine, National Taiwan University, Taipei, Taiwan.

出版信息

Sci Rep. 2014 Mar 12;4:4351. doi: 10.1038/srep04351.

Abstract

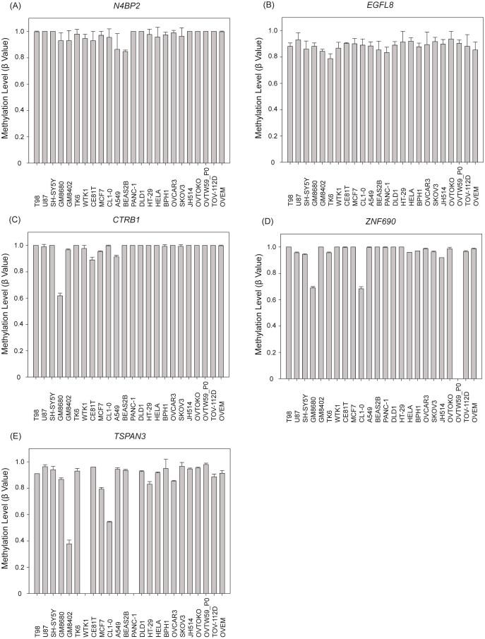
DNA methylation plays an important role in regulating cell growth and disease development. Methylation profiles are examined by bisulfite conversion; however, the lack of markers for bisulfite conversion efficiency and appropriate internal control genes remains a major challenge. To address these issues, we utilized two bioinformatics approaches, coefficients of variances and resampling tests, to identify probes showing stable methylation levels from several independent microarray datasets. Mass spectrometry validated the consistently high methylation levels of the five probes (N4BP2, EGFL8, CTRB1, TSPAN3, and ZNF690) in 13 human tissue types from 24 cell lines. Linear associations between detected methylation levels and methyl concentrations of DNA samples were further demonstrated in three genes (N4BP2, EGFL8, and CTRB1). To summarize, we identified five genes which may serve as internal controls for methylation studies by analyzing large-scale microarray data, and three of them can be used as markers for evaluating the efficiency of bisulfite conversion.

摘要

DNA 甲基化在调节细胞生长和疾病发展中起着重要作用。通过亚硫酸氢盐转化来检查甲基化谱;然而,缺乏用于亚硫酸氢盐转化效率的标记物和适当的内参基因仍然是一个主要挑战。为了解决这些问题,我们利用了两种生物信息学方法,方差系数和重采样检验,从几个独立的微阵列数据集确定显示稳定甲基化水平的探针。质谱分析验证了 24 种细胞系中的 13 种人体组织类型中 5 个探针(N4BP2、EGFL8、CTRB1、TSPAN3 和 ZNF690)的甲基化水平始终保持较高水平。在三个基因(N4BP2、EGFL8 和 CTRB1)中进一步证明了检测到的甲基化水平与 DNA 样本的甲基化浓度之间的线性关联。总之,我们通过分析大规模微阵列数据鉴定了五个可能作为甲基化研究内参的基因,其中三个可作为评估亚硫酸氢盐转化效率的标记物。

https://cdn.ncbi.nlm.nih.gov/pmc/blobs/dd86/3950633/cb0745b684fa/srep04351-f1.jpg

文献AI研究员

20分钟写一篇综述,助力文献阅读效率提升50倍。

立即体验

用中文搜PubMed

大模型驱动的PubMed中文搜索引擎

马上搜索

文档翻译

学术文献翻译模型,支持多种主流文档格式。

立即体验