Suppr超能文献

通过电子模拟得出液氢中分子解离的意外高压。

Unexpectedly high pressure for molecular dissociation in liquid hydrogen by electronic simulation.

作者信息

Mazzola Guglielmo, Yunoki Seiji, Sorella Sandro

机构信息

1] SISSA-International School for Advanced Studies, Via Bonomea 265, Trieste 34136, Italy [2] Democritos Simulation Center CNR-IOM Istituto Officina dei Materiali, Via Bonomea 265, Trieste 34136, Italy.

1] Computational Materials Science Research Team, RIKEN Advanced Institute for Computational Science (AICS), Kobe, Hyogo 650-0047, Japan [2] Computational Condensed Matter Physics Laboratory, RIKEN, Wako, Saitama 351-0198, Japan [3] Computational Quantum Matter Research Team, RIKEN Center for Emergent Matter Science (CEMS), Wako, Saitama 351-0198, Japan.

出版信息

Nat Commun. 2014 Mar 19;5:3487. doi: 10.1038/ncomms4487.

Abstract

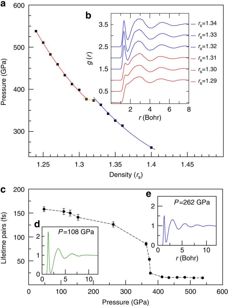
The study of the high pressure phase diagram of hydrogen has continued with renewed effort for about one century as it remains a fundamental challenge for experimental and theoretical techniques. Here we employ an efficient molecular dynamics based on the quantum Monte Carlo method, which can describe accurately the electronic correlation and treat a large number of hydrogen atoms, allowing a realistic and reliable prediction of thermodynamic properties. We find that the molecular liquid phase is unexpectedly stable, and the transition towards a fully atomic liquid phase occurs at much higher pressure than previously believed. The old standing problem of low-temperature atomization is, therefore, still far from experimental reach.

摘要

对氢的高压相图的研究已经持续了大约一个世纪,人们不断付出新的努力,因为这对实验和理论技术来说仍然是一个根本性的挑战。在这里,我们采用基于量子蒙特卡罗方法的高效分子动力学,它能够准确描述电子相关性并处理大量氢原子,从而对热力学性质进行现实且可靠的预测。我们发现分子液相出人意料地稳定,向完全原子液相的转变发生在比之前认为的高得多的压力下。因此,长期存在的低温雾化问题仍然远远超出实验所能达到的范围。

https://cdn.ncbi.nlm.nih.gov/pmc/blobs/e1ac/3973041/d674459b2d55/ncomms4487-f1.jpg

文献检索

告别复杂PubMed语法,用中文像聊天一样搜索,搜遍4000万医学文献。AI智能推荐,让科研检索更轻松。

立即免费搜索

文件翻译

保留排版,准确专业,支持PDF/Word/PPT等文件格式,支持 12+语言互译。

免费翻译文档

深度研究

AI帮你快速写综述,25分钟生成高质量综述,智能提取关键信息,辅助科研写作。

立即免费体验