Suppr超能文献

模块化超耐热细菌内切-β-1,4-甘露聚糖酶:分子形状、柔韧性和温度依赖性构象变化

Modular hyperthermostable bacterial endo-β-1,4-mannanase: molecular shape, flexibility and temperature-dependent conformational changes.

作者信息

da Silva Viviam M, Colussi Francieli, de Oliveira Neto Mario, Braz Antonio S K, Squina Fabio M, Oliveira Cristiano L P, Garcia Wanius

机构信息

Centro de Ciências Naturais e Humanas, Universidade Federal do ABC (UFABC), Santo André, São Paulo, Brazil.

Departamento de Física e Biofísica, Instituto de Biociências, Universidade Estadual Paulista, Botucatu, São Paulo, Brazil.

出版信息

PLoS One. 2014 Mar 26;9(3):e92996. doi: 10.1371/journal.pone.0092996. eCollection 2014.

Abstract

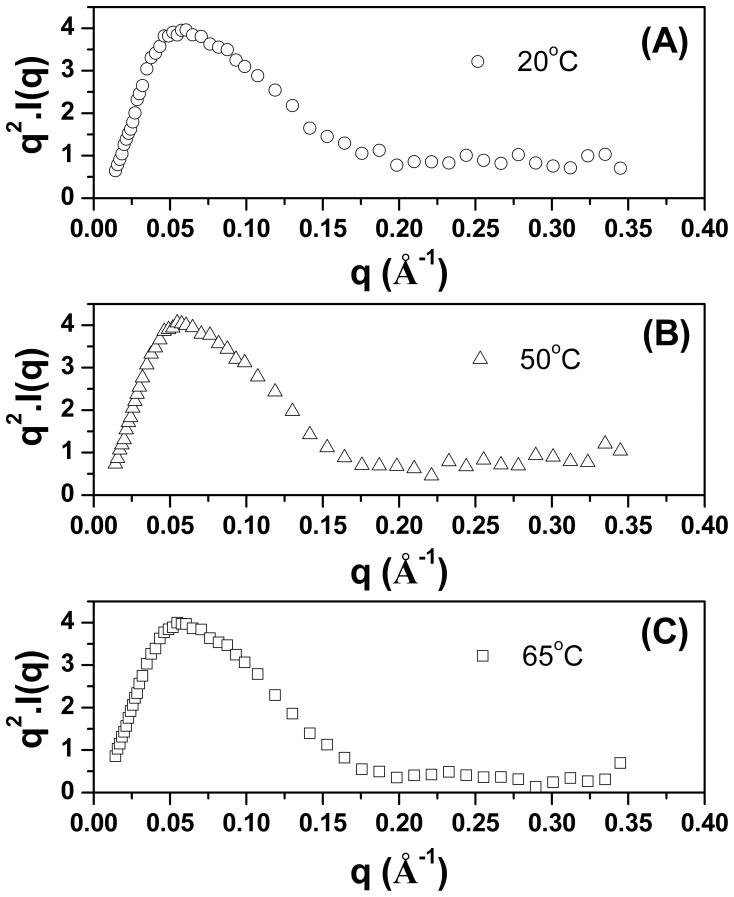
Endo-β-1,4-mannanase from Thermotoga petrophila (TpMan) is a hyperthermostable enzyme that catalyzes the hydrolysis of β-1,4-mannoside linkages in various mannan-containing polysaccharides. A recent study reported that TpMan is composed of a GH5 catalytic domain joined by a linker to a carbohydrate-binding domain. However, at this moment, there is no three-dimensional structure determined for TpMan. Little is known about the conformation of the TpMan as well as the role of the length and flexibility of the linker on the spatial arrangement of the constitutive domains. In this study, we report the first structural characterization of the entire TpMan by small-angle X-ray scattering combined with the three-dimensional structures of the individual domains in order to shed light on the low-resolution model, overall dimensions, and flexibility of this modular enzyme at different temperatures. The results are consistent with a linker with a compact structure and that occupies a small volume with respect to its large number of amino acids. Furthermore, at 20°C the results are consistent with a model where TpMan is a molecule composed of three distinct domains and that presents some level of molecular flexibility in solution. Even though the full enzyme has some degree of molecular flexibility, there might be a preferable conformation, which could be described by the rigid-body modeling procedure. Finally, the results indicate that TpMan undergoes a temperature-driven transition between conformational states without a significant disruption of its secondary structure. Our results suggest that the linker can optimize the geometry between the other two domains with respect to the substrate at high temperatures. These studies should provide a useful basis for future biophysical studies of entire TpMan.

摘要

嗜热栖热袍菌的内切-β-1,4-甘露聚糖酶(TpMan)是一种超嗜热酶,可催化各种含甘露聚糖的多糖中β-1,4-甘露糖苷键的水解。最近的一项研究报告称,TpMan由一个糖苷水解酶5(GH5)催化结构域通过一个连接子与一个碳水化合物结合结构域相连组成。然而,目前尚未确定TpMan的三维结构。关于TpMan的构象以及连接子的长度和柔韧性对组成结构域空间排列的作用知之甚少。在本研究中,我们通过小角X射线散射结合各个结构域的三维结构,首次报道了完整TpMan的结构特征,以便阐明这种模块化酶在不同温度下的低分辨率模型、整体尺寸和柔韧性。结果表明连接子具有紧密的结构,相对于其大量氨基酸而言占据较小的体积。此外,在20°C时,结果与一个模型一致,即TpMan是一个由三个不同结构域组成的分子,并且在溶液中呈现出一定程度的分子柔韧性。尽管完整的酶具有一定程度的分子柔韧性,但可能存在一种更优的构象,这可以通过刚体建模程序来描述。最后,结果表明TpMan在构象状态之间经历温度驱动的转变,而其二级结构没有明显破坏。我们的结果表明,连接子可以在高温下相对于底物优化其他两个结构域之间的几何形状。这些研究应为未来对完整TpMan的生物物理研究提供有用的基础。

https://cdn.ncbi.nlm.nih.gov/pmc/blobs/cf97/3966859/8cc7366df58a/pone.0092996.g001.jpg

文献检索

告别复杂PubMed语法,用中文像聊天一样搜索,搜遍4000万医学文献。AI智能推荐,让科研检索更轻松。

立即免费搜索

文件翻译

保留排版,准确专业,支持PDF/Word/PPT等文件格式,支持 12+语言互译。

免费翻译文档

深度研究

AI帮你快速写综述,25分钟生成高质量综述,智能提取关键信息,辅助科研写作。

立即免费体验