• 文献检索
  • 文档翻译
  • 深度研究
  • 学术资讯
  • Suppr Zotero 插件Zotero 插件
  • 邀请有礼
  • 套餐&价格
  • 历史记录
应用&插件
Suppr Zotero 插件Zotero 插件浏览器插件Mac 客户端Windows 客户端微信小程序
定价
高级版会员购买积分包购买API积分包
服务
文献检索文档翻译深度研究API 文档MCP 服务
关于我们
关于 Suppr公司介绍联系我们用户协议隐私条款
关注我们

Suppr 超能文献

核心技术专利:CN118964589B侵权必究
粤ICP备2023148730 号-1Suppr @ 2026

文献检索

告别复杂PubMed语法,用中文像聊天一样搜索,搜遍4000万医学文献。AI智能推荐,让科研检索更轻松。

立即免费搜索

文件翻译

保留排版,准确专业,支持PDF/Word/PPT等文件格式,支持 12+语言互译。

免费翻译文档

深度研究

AI帮你快速写综述,25分钟生成高质量综述,智能提取关键信息,辅助科研写作。

立即免费体验

2 型糖尿病日本患者同型半胱氨酸和同型半胱氨酸相关维生素与骨密度的关系。

Relationship of homocysteine and homocysteine-related vitamins to bone mineral density in Japanese patients with type 2 diabetes.

机构信息

Department of Diabetes and Clinical Nutrition, Graduate School of Medicine, Kyoto University.

Department of Metabolism and Clinical Nutrition, Kyoto University Hospital, Kyoto.

出版信息

J Diabetes Investig. 2011 Jun 5;2(3):233-9. doi: 10.1111/j.2040-1124.2010.00088.x.

DOI:10.1111/j.2040-1124.2010.00088.x
PMID:24843489
原文链接:https://pmc.ncbi.nlm.nih.gov/articles/PMC4014924/
Abstract

UNLABELLED

Aims/Introduction:  To estimate nutritional risk factors for osteoporosis in patients with type 2 diabetes, bone mineral density, homocysteine level, and intakes and levels of Hcy-related vitamins including folate, vitamin B6 and vitamin B12 were analyzed in a cross-sectional study.

MATERIALS AND METHODS

Lumbar spine and femoral neck bone mineral density, serum concentrations of vitamin B6, vitamin B12, and folate and plasma homocysteine levels were measured in 125 Japanese patients with type 2 diabetes. Nutrient intake values were evaluated using a food frequency questionnaire.

RESULTS

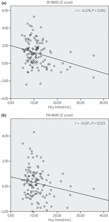
Homocysteine was inversely correlated with bone mineral density, and with both dietary intake and serum concentration of folate. Intake of green vegetables was correlated with intake and level of folate and homocysteine levels. When the population was analyzed across the quartiles, bone mineral density, serum folate concentration, folate intake and intake of green vegetables were lowest in the highest homocysteine group.

CONCLUSIONS

In patients with type 2 diabetes, the nutritional status of folate might affect the homocysteine level, a putative risk factor for osteoporosis. (J Diabetes Invest, doi: 10.1111/j.2040-1124.2010.00088.x, 2011).

摘要

目的/引言:本研究旨在分析 2 型糖尿病患者的骨质疏松风险因素,包括营养状况、骨密度、同型半胱氨酸水平以及与同型半胱氨酸相关的维生素(叶酸、维生素 B6 和维生素 B12)的摄入和水平。本研究采用横断面研究的方法对 125 例日本 2 型糖尿病患者进行了分析。通过食物频率问卷评估了营养素的摄入量。

材料和方法

本研究测量了 125 例日本 2 型糖尿病患者的腰椎和股骨颈骨密度、血清维生素 B6、维生素 B12 和叶酸浓度以及血浆同型半胱氨酸水平。

结果

同型半胱氨酸与骨密度呈负相关,与叶酸的膳食摄入量和血清浓度均呈负相关。绿叶蔬菜的摄入量与叶酸和同型半胱氨酸水平的摄入呈正相关。当按 quartiles 对人群进行分析时,同型半胱氨酸水平最高的患者的骨密度、血清叶酸浓度、叶酸摄入量和绿叶蔬菜摄入量最低。

结论

在 2 型糖尿病患者中,叶酸的营养状况可能影响同型半胱氨酸水平,同型半胱氨酸是骨质疏松的一个潜在危险因素。

https://cdn.ncbi.nlm.nih.gov/pmc/blobs/2391/4014924/d8c6088c5d00/jdi-2-233-g1.jpg
https://cdn.ncbi.nlm.nih.gov/pmc/blobs/2391/4014924/d8c6088c5d00/jdi-2-233-g1.jpg
https://cdn.ncbi.nlm.nih.gov/pmc/blobs/2391/4014924/d8c6088c5d00/jdi-2-233-g1.jpg

相似文献

1
Relationship of homocysteine and homocysteine-related vitamins to bone mineral density in Japanese patients with type 2 diabetes.2 型糖尿病日本患者同型半胱氨酸和同型半胱氨酸相关维生素与骨密度的关系。
J Diabetes Investig. 2011 Jun 5;2(3):233-9. doi: 10.1111/j.2040-1124.2010.00088.x.
2
Association of plasma folate, plasma total homocysteine, but not methylenetetrahydrofolate reductase C667T polymorphism, with bone mineral density in postmenopausal Iranian women: a cross-sectional study.伊朗绝经后女性血浆叶酸、血浆总同型半胱氨酸(而非亚甲基四氢叶酸还原酶C667T基因多态性)与骨密度的相关性:一项横断面研究
Bone. 2004 Sep;35(3):760-5. doi: 10.1016/j.bone.2004.04.018.
3
Dietary intake of vitamins B6, B12 and folate in relation to homocysteine serum concentration in the adult Polish population - WOBASZ Project.波兰成年人维生素 B6、B12 和叶酸的饮食摄入量与同型半胱氨酸血清浓度的关系-WOBASZ 项目。
Kardiol Pol. 2010 Mar;68(3):275-82.
4
Bone mineral density is not associated with homocysteine level, folate and vitamin B12 status.骨密度与同型半胱氨酸水平、叶酸和维生素 B12 状况无关。
Arch Gynecol Obstet. 2012 Apr;285(4):991-1000. doi: 10.1007/s00404-011-2079-3. Epub 2011 Sep 15.
5
Effect of folate, vitamin B6, and vitamin B12 intake and MTHFR C677T polymorphism on homocysteine concentrations of renal transplant recipients.叶酸、维生素B6和维生素B12摄入量及亚甲基四氢叶酸还原酶C677T基因多态性对肾移植受者同型半胱氨酸浓度的影响。
Transplant Proc. 2007 Dec;39(10):3163-5. doi: 10.1016/j.transproceed.2007.08.098.
6
Vitamin status and intake as primary determinants of homocysteinemia in an elderly population.维生素状态和摄入量作为老年人群高同型半胱氨酸血症的主要决定因素。
JAMA. 1993 Dec 8;270(22):2693-8. doi: 10.1001/jama.1993.03510220049033.
7
Dietary intake of folate, but not vitamin B2 or B12, is associated with increased bone mineral density 5 years after the menopause: results from a 10-year follow-up study in early postmenopausal women.绝经后5年,膳食中叶酸的摄入量与骨矿物质密度增加有关,而维生素B2或B12则不然:一项针对绝经后早期女性的10年随访研究结果。
Calcif Tissue Int. 2008 Jan;82(1):1-11. doi: 10.1007/s00223-007-9087-0. Epub 2008 Jan 4.
8
Vitamin B, vitamin B and total homocysteine status in children and their associations with dietary intake of B-vitamins from different food groups: the Healthy Growth Study.儿童体内的维生素B、维生素B及总同型半胱氨酸状况及其与不同食物组B族维生素膳食摄入量的关联:健康成长研究
Eur J Nutr. 2017 Feb;56(1):321-331. doi: 10.1007/s00394-015-1082-z. Epub 2015 Oct 29.
9
The influence of fruit and vegetable intake on the nutritional status and plasma homocysteine levels of institutionalised elderly people.水果和蔬菜摄入量对机构养老老年人营养状况及血浆同型半胱氨酸水平的影响。
Public Health Nutr. 2007 Mar;10(3):266-72. doi: 10.1017/S1368980007246580.
10
Validity of brief food frequency questionnaire for estimation of dietary intakes of folate, vitamins B6 and B12, and their associations with plasma homocysteine concentrations.简短食物频率问卷评估叶酸、维生素 B6 和 B12 摄入量的有效性及其与血浆同型半胱氨酸浓度的关系。
Int J Food Sci Nutr. 2010 Feb;61(1):61-7. doi: 10.3109/09637480903286363.

引用本文的文献

1
Hydrogen Sulfide Promotes Bone Homeostasis by Balancing Inflammatory Cytokine Signaling in CBS-Deficient Mice through an Epigenetic Mechanism.硫化氢通过表观遗传机制平衡 CBS 缺陷型小鼠中炎症细胞因子信号转导促进骨稳态。
Sci Rep. 2018 Oct 15;8(1):15226. doi: 10.1038/s41598-018-33149-9.
2
Serum homocysteine levels are affected by renal function during a 3-year period of minodronate therapy in female osteoporotic patients.在女性骨质疏松症患者接受米诺膦酸治疗的 3 年期间,血清同型半胱氨酸水平受肾功能的影响。
J Bone Miner Metab. 2019 Mar;37(2):319-326. doi: 10.1007/s00774-018-0920-5. Epub 2018 Mar 30.
3
Periarticular osteoporosis of the forearm correlated with joint destruction and functional impairment in patients with rheumatoid arthritis.

本文引用的文献

1
Report of the committee on the classification and diagnostic criteria of diabetes mellitus.糖尿病分类和诊断标准委员会报告。
J Diabetes Investig. 2010 Oct 19;1(5):212-28. doi: 10.1111/j.2040-1124.2010.00074.x.
2
Effect of fasting on the urinary excretion of water-soluble vitamins in humans and rats.禁食对人和大鼠水溶性维生素尿排泄的影响。
J Nutr Sci Vitaminol (Tokyo). 2010;56(1):19-26. doi: 10.3177/jnsv.56.19.
3
Intra- and inter-individual variations of blood and urinary water-soluble vitamins in Japanese young adults consuming a semi-purified diet for 7 days.
类风湿关节炎患者前臂关节周围骨质疏松与关节破坏及功能障碍相关。
Osteoporos Int. 2016 Feb;27(2):691-701. doi: 10.1007/s00198-015-3256-1. Epub 2015 Aug 5.
食用半纯化饮食7天的日本年轻成年人血液和尿液中水溶性维生素的个体内和个体间差异。
J Nutr Sci Vitaminol (Tokyo). 2009 Dec;55(6):459-70. doi: 10.3177/jnsv.55.459.
4
Bone health in diabetes: considerations for clinical management.糖尿病患者的骨骼健康:临床管理的考量因素
Curr Med Res Opin. 2009 May;25(5):1057-72. doi: 10.1185/03007990902801147.
5
Nutrient density and variation in nutrient intake with changing energy intake in multimorbid nursing home residents.多病共存的养老院居民的营养密度以及随着能量摄入变化的营养摄入差异。
J Hum Nutr Diet. 2009 Jun;22(3):210-8. doi: 10.1111/j.1365-277X.2008.00925.x. Epub 2009 Feb 17.
6
The role of hyperhomocysteinemia as well as folate, vitamin B(6) and B(12) deficiencies in osteoporosis: a systematic review.高同型半胱氨酸血症以及叶酸、维生素B6和B12缺乏在骨质疏松症中的作用:一项系统评价
Clin Chem Lab Med. 2007;45(12):1621-32. doi: 10.1515/CCLM.2007.362.
7
Stimulation of osteoclast activity by low B-vitamin concentrations.低浓度B族维生素对破骨细胞活性的刺激作用。
Bone. 2007 Oct;41(4):584-91. doi: 10.1016/j.bone.2007.06.005. Epub 2007 Jun 21.
8
Osteoporosis in patients with diabetes mellitus.糖尿病患者的骨质疏松症
J Bone Miner Res. 2007 Sep;22(9):1317-28. doi: 10.1359/jbmr.070510.
9
The association of homocysteine and its determinants MTHFR genotype, folate, vitamin B12 and vitamin B6 with bone mineral density in postmenopausal British women.绝经后英国女性中同型半胱氨酸及其决定因素(亚甲基四氢叶酸还原酶基因分型、叶酸、维生素B12和维生素B6)与骨密度的关联。
Bone. 2007 Mar;40(3):730-6. doi: 10.1016/j.bone.2006.10.008. Epub 2006 Dec 1.
10
Discrepancies in bone mineral density and fracture risk in patients with type 1 and type 2 diabetes--a meta-analysis.1型和2型糖尿病患者骨矿物质密度与骨折风险的差异——一项荟萃分析
Osteoporos Int. 2007 Apr;18(4):427-44. doi: 10.1007/s00198-006-0253-4. Epub 2006 Oct 27.