Suppr超能文献

小儿科普通病房使用持续气道正压通气治疗细支气管炎:一项可行性研究。

Continuous positive airway pressure for bronchiolitis in a general paediatric ward; a feasibility study.

机构信息

Department of Paediatrics, Stavanger University Hospital, PO box 8100, 4068 Stavanger, Norway.

出版信息

BMC Pediatr. 2014 May 12;14:122. doi: 10.1186/1471-2431-14-122.

Abstract

BACKGROUND

Continuous positive airway pressure (CPAP) is commonly used to relieve respiratory distress in infants with bronchiolitis, but has mostly been studied in an intensive care setting. Our prime aim was to evaluate the feasibility of CPAP for infants with bronchiolitis in a general paediatric ward, and secondary to assess capillary PCO2 (cPCO2) levels before and during treatment.

METHODS

From May 1(st) 2008 to April 30(th) 2012, infants with bronchiolitis at Stavanger University Hospital were treated with CPAP in a general paediatric ward, but could be referred to an intensive care unit (ICU) when needed, according to in-house guidelines. Levels of cPCO2 were prospectively registered before the start of CPAP and at approximately 4, 12, 24 and 48 hours of treatment as long as CPAP was given. We had a continuous updating program for the nurses and physicians caring for the infants with CPAP. The study was population based.

RESULTS

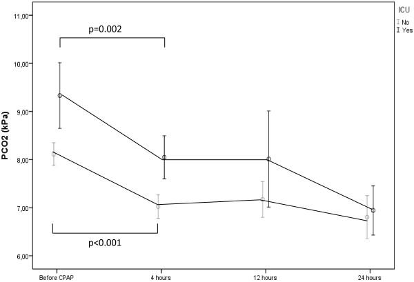
672 infants (3.4%) were hospitalized with bronchiolitis. CPAP was initiated in 53 infants (0.3%; 7.9% of infants with bronchiolitis), and was well tolerated in all but three infants. 46 infants were included in the study, the majority of these (n = 33) were treated in the general ward only. These infants had lower cPCO2 before treatment (8.0; 7.7, 8.6)(median; quartiles) than those treated at the ICU (n = 13) (9.3;8.5, 9.9) (p < 0.001). The level of cPCO2 was significantly reduced after 4 h in both groups; 1.1 kPa (paediatric ward) (p < 0.001) and 1.3 kPa (ICU) (p = 0.002). Two infants on the ICU did not respond to CPAP (increasing cPCO2 and severe apnoe) and were given mechanical ventilation, otherwise no side effects were observed in either group treated with CPAP.

CONCLUSION

Treatment with CPAP for infants with bronchiolitis may be feasible in a general paediatric ward, providing sufficient staffing and training, and the possibility of referral to an ICU when needed.

摘要

背景

持续气道正压通气(CPAP)常用于缓解毛细支气管炎婴儿的呼吸窘迫,但大多在重症监护病房进行研究。我们的主要目的是评估 CPAP 在普通儿科病房中治疗毛细支气管炎婴儿的可行性,并次要评估治疗前后毛细血管 PCO2(cPCO2)水平。

方法

从 2008 年 5 月 1 日至 2012 年 4 月 30 日,斯塔万格大学医院的毛细支气管炎婴儿在普通儿科病房接受 CPAP 治疗,但根据内部指南,需要时可转至重症监护病房(ICU)。CPAP 开始前及治疗后约 4、12、24 和 48 小时时,前瞻性地记录 cPCO2 水平,只要给予 CPAP。我们为照顾 CPAP 婴儿的护士和医生制定了一个持续更新的计划。该研究是基于人群的。

结果

672 名(3.4%)婴儿因毛细支气管炎住院。53 名(0.3%;毛细支气管炎婴儿的 7.9%)婴儿开始接受 CPAP,除 3 名婴儿外,均能耐受。46 名婴儿纳入研究,其中大多数(n=33)仅在普通病房治疗。这些婴儿治疗前 cPCO2 较低(8.0;7.7,8.6)(中位数;四分位数),低于在 ICU 治疗的婴儿(n=13)(9.3;8.5,9.9)(p<0.001)。两组患儿在 4 小时后 cPCO2 均显著降低;1.1 kPa(儿科病房)(p<0.001)和 1.3 kPa(ICU)(p=0.002)。ICU 上的 2 名婴儿对 CPAP 无反应(cPCO2 增加和严重呼吸暂停),给予机械通气,否则在接受 CPAP 治疗的两组中均未观察到不良反应。

结论

在普通儿科病房中,为毛细支气管炎婴儿提供 CPAP 治疗是可行的,前提是有足够的人员配备和培训,并在需要时可将其转至 ICU。

https://cdn.ncbi.nlm.nih.gov/pmc/blobs/a27e/4020573/6247e46dacbe/1471-2431-14-122-1.jpg

文献AI研究员

20分钟写一篇综述,助力文献阅读效率提升50倍。

立即体验

用中文搜PubMed

大模型驱动的PubMed中文搜索引擎

马上搜索

文档翻译

学术文献翻译模型,支持多种主流文档格式。

立即体验