Spagnolo Alessandro, Larignon Philippe, Magnin-Robert Maryline, Hovasse Agnès, Cilindre Clara, Van Dorsselaer Alain, Clément Christophe, Schaeffer-Reiss Christine, Fontaine Florence
Université de Reims Champagne-Ardenne, URVVC EA 4707, Laboratoire Stress, Défenses et Reproduction des Plantes, BP 1039, Reims (Cedex 2) 51687, France.
Institut Français de la Vigne et du Vin Pôle Rhône-Méditerranée, France, Domaine de Donadille, Rodilhan 30230, France.
Int J Mol Sci. 2014 May 30;15(6):9644-69. doi: 10.3390/ijms15069644.
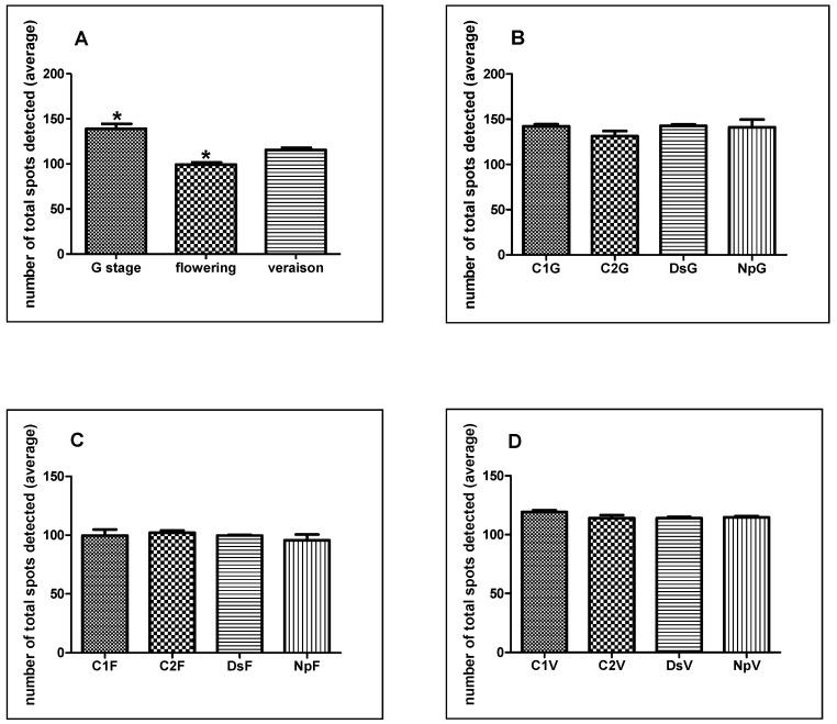
Botryosphaeria dieback is a fungal grapevine trunk disease that currently represents a threat for viticulture worldwide because of the important economical losses due to reduced yield of affected plants and their premature death. Neofusicoccum parvum and Diplodia seriata are among the causal agents. Vine green stems were artificially infected with N. parvum or D. seriata at the onset of three different phenological stages (G stage (separated clusters), flowering and veraison). Highest mean lesion lengths were recorded at flowering. Major proteome changes associated to artificial infections during the three different phenological stages were also reported using two dimensional gel electrophoresis (2D)-based analysis. Twenty (G stage), 15 (flowering) and 13 (veraison) differentially expressed protein spots were subjected to nanoLC-MS/MS and a total of 247, 54 and 25 proteins were respectively identified. At flowering, a weaker response to the infection was likely activated as compared to the other stages, and some defense-related proteins were even down regulated (e.g., superoxide dismutase, major latex-like protein, and pathogenesis related protein 10). Globally, the flowering period seemed to represent the period of highest sensitivity of grapevine to Botryosphaeria dieback agent infection, possibly being related to the high metabolic activity in the inflorescences.
葡萄座腔菌枝干溃疡病是一种由真菌引起的葡萄树干病害,由于受感染植株产量降低及其过早死亡造成了重大经济损失,目前它对全球葡萄栽培构成了威胁。葡萄小穴壳菌和葡萄座腔菌是致病因子。在三个不同物候期(G期(果穗分离)、花期和转色期)开始时,用葡萄小穴壳菌或葡萄座腔菌对葡萄绿茎进行人工接种。花期记录到的平均病斑长度最长。还利用基于二维凝胶电泳(2D)的分析方法,报告了在三个不同物候期人工接种期间相关的主要蛋白质组变化。对20个(G期)、15个(花期)和13个(转色期)差异表达的蛋白质点进行了纳升液相色谱-串联质谱分析(nanoLC-MS/MS),分别鉴定出247、54和25种蛋白质。与其他阶段相比,花期对感染的反应可能较弱,一些与防御相关的蛋白质甚至下调(例如,超氧化物歧化酶、主要类乳胶蛋白和病程相关蛋白10)。总体而言,花期似乎是葡萄对葡萄座腔菌枝干溃疡病病原菌感染最敏感的时期,这可能与花序中的高代谢活性有关。