Suppr超能文献

通过(18)F-氟糖基化改善药物放射化学:简短综述

Sweetening pharmaceutical radiochemistry by (18)f-fluoroglycosylation: a short review.

作者信息

Maschauer Simone, Prante Olaf

机构信息

Molecular Imaging and Radiochemistry, Department of Nuclear Medicine, Friedrich Alexander University, Schwabachanlage 6, 91054 Erlangen, Germany.

出版信息

Biomed Res Int. 2014;2014:214748. doi: 10.1155/2014/214748. Epub 2014 Jun 1.

Abstract

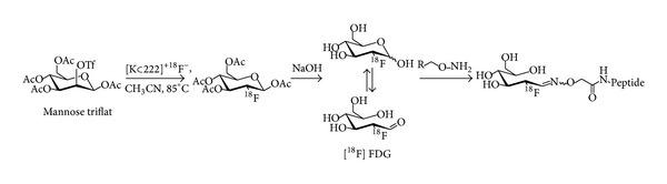
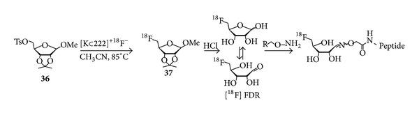
At the time when the highly efficient [(18)F]FDG synthesis was discovered by the use of the effective precursor 1,3,4,6-tetra-O-acetyl-2-O-trifluoromethanesulfonyl- β -D-mannopyranose (mannose triflate) for nucleophilic (18)F-substitution, the field of PET in nuclear medicine experienced a long-term boom. Thirty years later, various strategies for chemoselective (18)F-labeling of biomolecules have been developed, trying to keep up with the emerging field of radiopharmaceutical sciences. Among the new radiochemical strategies, chemoselective (18)F-fluoroglycosylation methods aim at the sweetening of pharmaceutical radiochemistry by providing a powerful and highly valuable tool for the design of (18)F-glycoconjugates with suitable in vivo properties for PET imaging studies. This paper provides a short review (reflecting the literature not older than 8 years) on the different (18)F-fluoroglycosylation reactions that have been applied to the development of various (18)F-glycoconjugate tracers, including not only peptides, but also nonpeptidic tracers and high-molecular-weight proteins.

摘要

当通过使用有效的前体1,3,4,6 - 四 - O - 乙酰基 - 2 - O - 三氟甲磺酰基 - β - D - 甘露吡喃糖(甘露糖三氟甲磺酸酯)进行亲核(18)F取代发现高效的[(18)F]FDG合成时,核医学中的PET领域经历了长期的繁荣。三十年后,已经开发出各种用于生物分子化学选择性(18)F标记的策略,试图跟上放射性药物科学这一新兴领域。在新的放射化学策略中,化学选择性(18)F - 氟糖基化方法旨在通过为具有适合PET成像研究体内性质的(18)F - 糖缀合物的设计提供一种强大且非常有价值的工具来使药物放射化学变得更有吸引力。本文对已应用于各种(18)F - 糖缀合物示踪剂开发的不同(18)F - 氟糖基化反应进行了简要综述(反映的文献不超过八年),这些示踪剂不仅包括肽,还包括非肽示踪剂和高分子量蛋白质。

https://cdn.ncbi.nlm.nih.gov/pmc/blobs/d3b1/4058687/40281f6aee20/BMRI2014-214748.sch.001.jpg

文献AI研究员

20分钟写一篇综述,助力文献阅读效率提升50倍。

立即体验

用中文搜PubMed

大模型驱动的PubMed中文搜索引擎

马上搜索

文档翻译

学术文献翻译模型,支持多种主流文档格式。

立即体验