Kitaguchi Yoshiaki, Fujimoto Keisaku, Hanaoka Masayuki, Honda Takayuki, Hotta Junichi, Hirayama Jiro
First Department of Internal Medicine, Shinshu University School of Medicine, Matsumoto, Japan ; Department of Internal Medicine, Okaya City Hospital, Okaya, Japan.
Department of Clinical Laboratory Sciences, Shinshu University School of Medicine, Matsumoto, Japan.
Int J Chron Obstruct Pulmon Dis. 2014 Jul 29;9:805-11. doi: 10.2147/COPD.S65621. eCollection 2014.
The syndrome of combined pulmonary fibrosis and emphysema (CPFE) is a recently described entity associating upper-lobe emphysema and lower-lobe fibrosis. We sought to evaluate differences in pulmonary function between CPFE patients with and without airflow obstruction.
Thirty-one CPFE patients were divided into two groups according to the presence or absence of irreversible airflow obstruction based on spirometry (forced expiratory volume in 1 second/forced vital capacity <70% following inhalation of a β2-agonist) as follows: CPFE patients with airflow obstruction (CPFE OB(+) group, n=11), and CPFE patients without airflow obstruction (CPFE OB(-) group, n=20). Pulmonary function, including respiratory impedance evaluated using impulse oscillometry and dynamic hyperinflation following metronome-paced incremental hyperventilation, was retrospectively analyzed in comparison with that observed in 49 chronic obstructive pulmonary disease (COPD) patients (n=49).
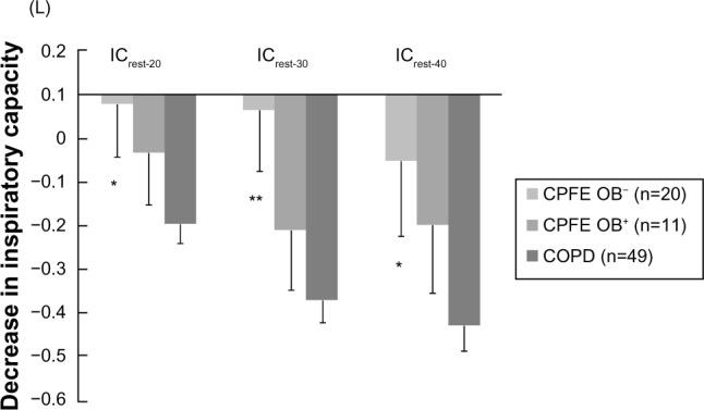
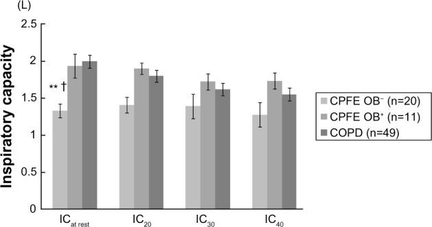
In imaging findings, low-attenuation-area scores on chest high-resolution computed tomography, representing the degree of emphysema, were significantly lower in the CPFE OB(-) group than in the CPFE OB(+) and COPD groups. In contrast, the severity of pulmonary fibrosis was greater in the CPFE OB(-) group than in the CPFE OB(+) group. In pulmonary function, lung hyperinflation was not apparent in the CPFE OB(-) group. Impairment of diffusion capacity was severe in both the CPFE OB(-) and CPFE OB(+) groups. Impulse oscillometry showed that respiratory resistance was not apparent in the CPFE OB(-) group compared with the COPD group, and that easy collapsibility of small airways during expiration of tidal breath was not apparent in the CPFE OB(+) group compared with the COPD group. Dynamic hyperinflation following metronome-paced incremental hyperventilation was significantly greater in the COPD group than in the CPFE OB(-) group, and also tended to be greater in the CPFE OB(+) group than in the CPFE OB(-) group.
The mechanisms underlying impairment of physiological function may differ among CPFE OB(+) patients, CPFE OB(-) patients, and COPD patients. CPFE is a heterogeneous disease, and may have distinct phenotypes physiologically and radiologically.
合并肺纤维化和肺气肿综合征(CPFE)是一种最近描述的疾病,其特征为上叶肺气肿和下叶纤维化。我们试图评估有气流阻塞和无气流阻塞的CPFE患者之间的肺功能差异。
根据肺活量测定结果(吸入β2受体激动剂后1秒用力呼气容积/用力肺活量<70%),将31例CPFE患者分为两组:有气流阻塞的CPFE患者(CPFE OB(+)组,n = 11)和无气流阻塞的CPFE患者(CPFE OB(-)组,n = 20)。回顾性分析肺功能,包括使用脉冲振荡法评估的呼吸阻抗以及节拍器驱动的递增过度通气后的动态肺过度充气,并与49例慢性阻塞性肺疾病(COPD)患者(n = 49)的观察结果进行比较。
在影像学表现方面,代表肺气肿程度的胸部高分辨率计算机断层扫描上的低衰减区评分,CPFE OB(-)组显著低于CPFE OB(+)组和COPD组。相反,CPFE OB(-)组的肺纤维化严重程度高于CPFE OB(+)组。在肺功能方面,CPFE OB(-)组未出现明显的肺过度充气。CPFE OB(-)组和CPFE OB(+)组的弥散功能均严重受损。脉冲振荡法显示,与COPD组相比,CPFE OB(-)组的呼吸阻力不明显;与COPD组相比,CPFE OB(+)组潮气呼吸呼气时小气道的易塌陷性不明显。节拍器驱动的递增过度通气后的动态肺过度充气在COPD组显著高于CPFE OB(-)组,在CPFE OB(+)组也倾向于高于CPFE OB(-)组。
CPFE OB(+)患者、CPFE OB(-)患者和COPD患者生理功能受损的潜在机制可能不同。CPFE是一种异质性疾病,在生理和放射学上可能具有不同的表型。