Suppr超能文献

反馈偏差如何让无效的医学治疗享有良好声誉。

How feedback biases give ineffective medical treatments a good reputation.

作者信息

de Barra Mícheál, Eriksson Kimmo, Strimling Pontus

机构信息

Centre for the Study of Cultural Evolution, Stockholm, Sweden.

出版信息

J Med Internet Res. 2014 Aug 21;16(8):e193. doi: 10.2196/jmir.3214.

Abstract

BACKGROUND

Medical treatments with no direct effect (like homeopathy) or that cause harm (like bloodletting) are common across cultures and throughout history. How do such treatments spread and persist? Most medical treatments result in a range of outcomes: some people improve while others deteriorate. If the people who improve are more inclined to tell others about their experiences than the people who deteriorate, ineffective or even harmful treatments can maintain a good reputation.

OBJECTIVE

The intent of this study was to test the hypothesis that positive outcomes are overrepresented in online medical product reviews, to examine if this reputational distortion is large enough to bias people's decisions, and to explore the implications of this bias for the cultural evolution of medical treatments.

METHODS

We compared outcomes of weight loss treatments and fertility treatments in clinical trials to outcomes reported in 1901 reviews on Amazon. Then, in a series of experiments, we evaluated people's choice of weight loss diet after reading different reviews. Finally, a mathematical model was used to examine if this bias could result in less effective treatments having a better reputation than more effective treatments.

RESULTS

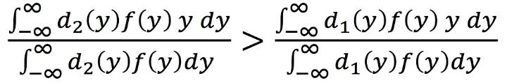
Data are consistent with the hypothesis that people with better outcomes are more inclined to write reviews. After 6 months on the diet, 93% (64/69) of online reviewers reported a weight loss of 10 kg or more while just 27% (19/71) of clinical trial participants experienced this level of weight change. A similar positive distortion was found in fertility treatment reviews. In a series of experiments, we show that people are more inclined to begin a diet with many positive reviews, than a diet with reviews that are representative of the diet's true effect. A mathematical model of medical cultural evolution shows that the size of the positive distortion critically depends on the shape of the outcome distribution.

CONCLUSIONS

Online reviews overestimate the benefits of medical treatments, probably because people with negative outcomes are less inclined to tell others about their experiences. This bias can enable ineffective medical treatments to maintain a good reputation.

摘要

背景

没有直接疗效的医学疗法(如顺势疗法)或造成伤害的疗法(如放血疗法)在不同文化和历史时期都很常见。这些疗法是如何传播并持续存在的呢?大多数医学疗法会产生一系列结果:有些人病情好转,而有些人则病情恶化。如果病情好转的人比病情恶化的人更倾向于向他人讲述自己的经历,那么无效甚至有害的疗法就能维持良好的声誉。

目的

本研究旨在检验以下假设:在线医疗产品评论中正面结果被过度呈现;检验这种声誉扭曲是否大到足以影响人们的决策;并探讨这种偏差对医学疗法文化演变的影响。

方法

我们将减肥疗法和生育疗法在临床试验中的结果与亚马逊上1901条评论中报告的结果进行了比较。然后,在一系列实验中,我们评估了人们在阅读不同评论后对减肥饮食的选择。最后,使用一个数学模型来检验这种偏差是否会导致疗效较差的疗法比疗效较好的疗法拥有更好的声誉。

结果

数据与以下假设一致,即结果较好的人更倾向于撰写评论。节食6个月后,93%(64/69)的在线评论者报告体重减轻了10公斤或更多,而临床试验参与者中只有27%(19/71)经历了这种程度的体重变化。在生育疗法评论中也发现了类似的正向扭曲。在一系列实验中,我们表明,人们更倾向于开始一种有许多正面评论的饮食,而不是一种评论能代表该饮食真实效果的饮食。医学文化演变的数学模型表明,正向扭曲的程度关键取决于结果分布的形状。

结论

在线评论高估了医学疗法的益处,可能是因为结果负面的人不太倾向于向他人讲述自己的经历。这种偏差会使无效的医学疗法维持良好的声誉。

https://cdn.ncbi.nlm.nih.gov/pmc/blobs/0137/4147705/22a9e0e750dd/jmir_v16i8e193_fig1.jpg

文献AI研究员

20分钟写一篇综述,助力文献阅读效率提升50倍。

立即体验

用中文搜PubMed

大模型驱动的PubMed中文搜索引擎

马上搜索

文档翻译

学术文献翻译模型,支持多种主流文档格式。

立即体验