Suppr超能文献

使用 7T MRI 检测阿尔茨海默病中海马层的容积损失:一项可行性研究。

Detection of volume loss in hippocampal layers in Alzheimer's disease using 7 T MRI: a feasibility study.

机构信息

Sorbonne Universités, Université Pierre et Marie Curie, Paris6, Institut du Cerveau et de la Moelle épinière (ICM), UM 75, 75013 Paris, France ; Inserm, U1127 ICM, Paris 75013, France ; CNRS, UMR 7225 ICM, Paris 75013, France ; ICM - Institut du Cerveau et de la Moelle épinière, Paris 75013, France ; INRIA, Aramis Team, Centre de Recherche Paris-Rocquencourt, France ; AP-HP, Groupe Hospitalier Pitié-Salpêtrière, Département de Neuroradiologie, Groupe Hospitalier Pitié-Salpêtrière, Paris 75013, France ; Centre de Neuroimagerie de Recherche - CENIR, 75013 Paris, France.

Sorbonne Universités, Université Pierre et Marie Curie, Paris6, Institut du Cerveau et de la Moelle épinière (ICM), UM 75, 75013 Paris, France ; Inserm, U1127 ICM, Paris 75013, France ; CNRS, UMR 7225 ICM, Paris 75013, France ; ICM - Institut du Cerveau et de la Moelle épinière, Paris 75013, France ; INRIA, Aramis Team, Centre de Recherche Paris-Rocquencourt, France.

出版信息

Neuroimage Clin. 2014 Jul 31;5:341-8. doi: 10.1016/j.nicl.2014.07.011. eCollection 2014.

Abstract

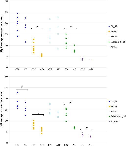
In Alzheimer's disease (AD), the hippocampus is an early site of tau pathology and neurodegeneration. Histological studies have shown that lesions are not uniformly distributed within the hippocampus. Moreover, alterations of different hippocampal layers may reflect distinct pathological processes. 7 T MRI dramatically improves the visualization of hippocampal subregions and layers. In this study, we aimed to assess whether 7 T MRI can detect volumetric changes in hippocampal layers in vivo in patients with AD. We studied four AD patients and seven control subjects. MR images were acquired using a whole-body 7 T scanner with an eight channel transmit-receive coil. Hippocampal subregions were manually segmented from coronal T2*-weighted gradient echo images with 0.3 × 0.3 × 1.2 mm3 resolution using a protocol that distinguishes between layers richer or poorer in neuronal bodies. Five subregions were segmented in the region of the hippocampal body: alveus, strata radiatum, lacunosum and moleculare (SRLM) of the cornu Ammonis (CA), hilum, stratum pyramidale of CA and stratum pyramidale of the subiculum. We found strong bilateral reductions in the SRLM of the cornu Ammonis and in the stratum pyramidale of the subiculum (p < 0.05), with average cross-sectional area reductions ranging from -29% to -49%. These results show that it is possible to detect volume loss in distinct hippocampal layers using segmentation of 7 T MRI. 7 T MRI-based segmentation is a promising tool for AD research.

摘要

在阿尔茨海默病(AD)中,海马体是 tau 病理学和神经退行性变的早期部位。组织学研究表明,病变在海马体内不是均匀分布的。此外,不同海马层的改变可能反映了不同的病理过程。7T MRI 极大地提高了海马亚区和层的可视化程度。在这项研究中,我们旨在评估 7T MRI 是否可以在 AD 患者体内活体检测海马层的体积变化。我们研究了 4 名 AD 患者和 7 名对照受试者。使用全身 7T 扫描仪和 8 通道发射接收线圈采集 MR 图像。使用区分神经元体丰富或贫乏的层的协议,从冠状 T2*-加权梯度回波图像手动分割海马亚区,分辨率为 0.3×0.3×1.2mm3。在海马体区域中分割了五个亚区:齿状回的内分子层、放射层、腔隙层和分子层(SRLM)、门区、CA 的锥体层和 subiculum 的锥体层。我们发现 SRLM 的双侧明显减少,以及 subiculum 的 CA 的锥体层(p<0.05),平均横截面积减少范围从-29%到-49%。这些结果表明,使用 7T MRI 的分割可以检测到不同海马层的体积损失。基于 7T MRI 的分割是 AD 研究的有前途的工具。

https://cdn.ncbi.nlm.nih.gov/pmc/blobs/6328/4141975/99d21e497aa1/fx1.jpg

文献检索

告别复杂PubMed语法,用中文像聊天一样搜索,搜遍4000万医学文献。AI智能推荐,让科研检索更轻松。

立即免费搜索

文件翻译

保留排版,准确专业,支持PDF/Word/PPT等文件格式,支持 12+语言互译。

免费翻译文档

深度研究

AI帮你快速写综述,25分钟生成高质量综述,智能提取关键信息,辅助科研写作。

立即免费体验