Suppr超能文献

基于DNA甲基化基因的模型表明前列腺癌患者预后独立不良。

DNA methylation gene-based models indicating independent poor outcome in prostate cancer.

作者信息

Vasiljević Nataša, Ahmad Amar S, Thorat Mangesh A, Fisher Gabrielle, Berney Daniel M, Møller Henrik, Foster Christopher S, Cuzick Jack, Lorincz Attila T

机构信息

Centre for Cancer Prevention, Wolfson Institute of Preventive Medicine, Barts and The London School of Medicine, Queen Mary University of London, London EC1M 6BQ, UK.

出版信息

BMC Cancer. 2014 Sep 6;14:655. doi: 10.1186/1471-2407-14-655.

Abstract

BACKGROUND

Prostate cancer has a variable clinical behaviour with frequently unpredictable outcome. DNA methylation plays an important role in determining the biology of cancer but prognostic information is scanty. We assessed the potential of gene-specific DNA methylation changes to predict death from prostate cancer in a cohort of untreated men in the UK.

METHODS

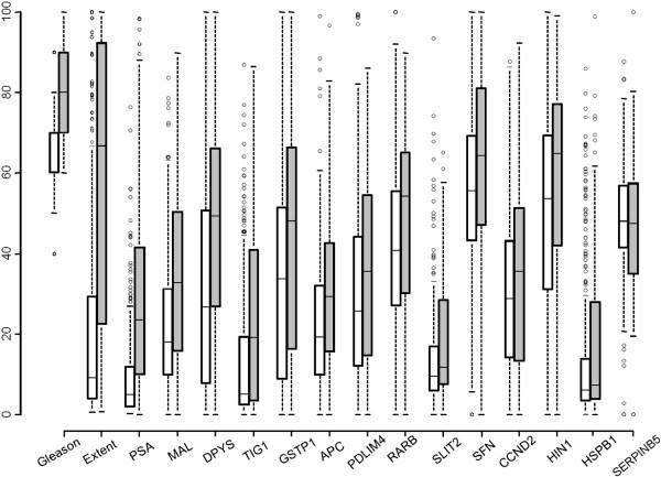
This was a population-based study in which cases were identified from six cancer registries in Great Britain. DNA was extracted from formalin-fixed paraffin wax-embedded transurethral prostate resection tissues collected during 1990-96 from men with clinically-localised cancer who chose not to be treated for at least 6 months following diagnosis. The primary end point was death from prostate cancer. Outcomes were determined through medical records and cancer registry records. Pyrosequencing was used to quantify methylation in 13 candidate genes with established or suggested roles in cancer. Univariate and multivariate Cox models were used to identify possible predictors for prostate cancer-related death.

RESULTS

Of 367 men, 99 died from prostate cancer during a median of 9.5 years follow-up (max = 20). Univariately, 12 genes were significantly associated with prostate cancer mortality, hazard ratios ranged between 1.09 and 1.28 per decile increase in methylation. Stepwise Cox regression modelling suggested that the methylation of genes HSPB1, CCND2 and DPYS contributed objective prognostic information to Gleason score and PSA with respect to cancer-related death during follow-up (p = 0.006).

CONCLUSION

Methylation of 13 genes was analysed in 367 men with localised prostate cancer who were conservatively treated and stratified with respect to death from prostate cancer and those who survived or died of other causes. Of the 13 genes analysed, differential methylation of HSPB1, CCND2 and DPYS provided independent prognostic information. Assessment of gene-methylation may provide independent objective information that can be used to segregate prostate cancers at diagnosis into predicted behavioural groups.

摘要

背景

前列腺癌具有多变的临床行为,其预后常常难以预测。DNA甲基化在决定癌症生物学特性方面发挥着重要作用,但预后信息却很匮乏。我们评估了基因特异性DNA甲基化变化在预测英国一组未经治疗男性前列腺癌死亡方面的潜力。

方法

这是一项基于人群的研究,病例来自英国的六个癌症登记处。DNA从1990 - 1996年期间收集的福尔马林固定石蜡包埋的经尿道前列腺切除组织中提取,这些组织来自临床局限性癌症患者,他们在诊断后选择至少6个月不接受治疗。主要终点是前列腺癌死亡。通过医疗记录和癌症登记记录确定结果。焦磷酸测序用于量化13个在癌症中已确定或推测有作用的候选基因的甲基化。单变量和多变量Cox模型用于识别前列腺癌相关死亡的可能预测因素。

结果

在367名男性中,99人在中位9.5年的随访期间(最长20年)死于前列腺癌。单变量分析中,12个基因与前列腺癌死亡率显著相关,甲基化每增加十分位数,风险比在1.09至1.28之间。逐步Cox回归模型表明,基因HSPB1、CCND2和DPYS的甲基化在随访期间为 Gleason评分和PSA提供了关于癌症相关死亡的客观预后信息(p = 0.006)。

结论

对367名接受保守治疗的局限性前列腺癌男性进行了13个基因的甲基化分析,并根据前列腺癌死亡情况以及存活或死于其他原因进行分层。在所分析的13个基因中,HSPB1、CCND2和DPYS的差异甲基化提供了独立的预后信息。基因甲基化评估可能提供独立的客观信息,可用于在诊断时将前列腺癌分为预测行为组。

https://cdn.ncbi.nlm.nih.gov/pmc/blobs/ec71/4162944/33be57fc3a6d/12885_2014_4830_Fig1_HTML.jpg

文献检索

告别复杂PubMed语法,用中文像聊天一样搜索,搜遍4000万医学文献。AI智能推荐,让科研检索更轻松。

立即免费搜索

文件翻译

保留排版,准确专业,支持PDF/Word/PPT等文件格式,支持 12+语言互译。

免费翻译文档

深度研究

AI帮你快速写综述,25分钟生成高质量综述,智能提取关键信息,辅助科研写作。

立即免费体验