Suppr超能文献

用于共价酶固定化的无机材料:方法与机制

Inorganic materials as supports for covalent enzyme immobilization: methods and mechanisms.

作者信息

Zucca Paolo, Sanjust Enrico

机构信息

Consorzio UNO, Consortium University of Oristano, Oristano 09170, Italy.

Dipartimento di Scienze Biomediche, Università di Cagliari, Monserrato 09042, Italy.

出版信息

Molecules. 2014 Sep 9;19(9):14139-94. doi: 10.3390/molecules190914139.

Abstract

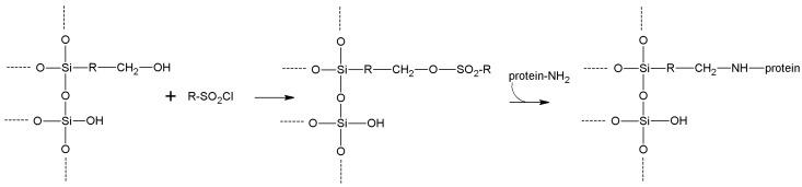
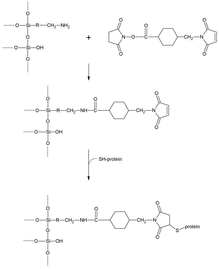
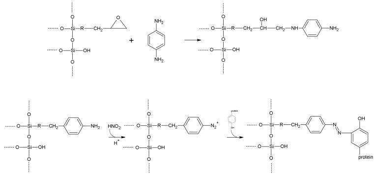
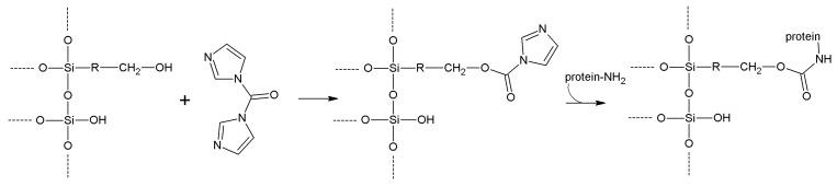
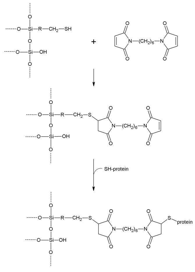
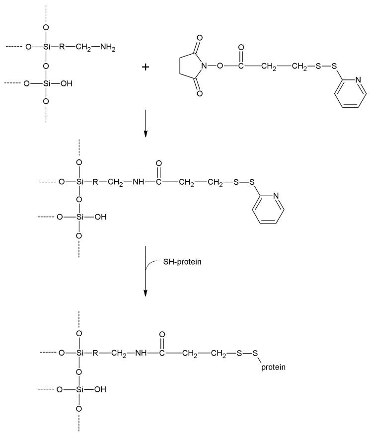
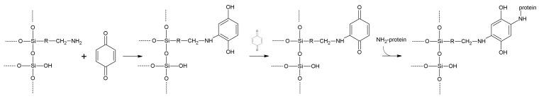
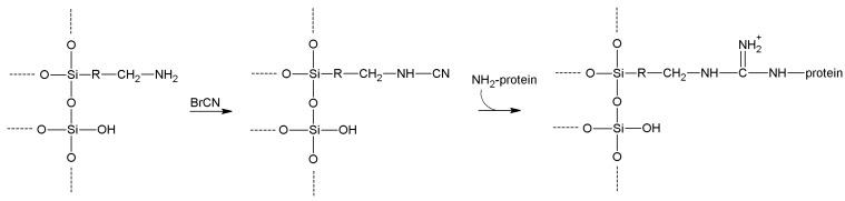
Several inorganic materials are potentially suitable for enzymatic covalent immobilization, by means of several different techniques. Such materials must meet stringent criteria to be suitable as solid matrices: complete insolubility in water, reasonable mechanical strength and chemical resistance under the operational conditions, the capability to form manageable particles with high surface area, reactivity towards derivatizing/functionalizing agents. Non-specific protein adsorption should be always considered when planning covalent immobilization on inorganic solids. A huge mass of experimental work has shown that silica, silicates, borosilicates and aluminosilicates, alumina, titania, and other oxides, are the materials of choice when attempting enzyme immobilizations on inorganic supports. More recently, some forms of elemental carbon, silicon, and certain metals have been also proposed for certain applications. With regard to the derivatization/functionalization techniques, the use of organosilanes through silanization is undoubtedly the most studied and the most applied, although inorganic bridge formation and acylation with selected acyl halides have been deeply studied. In the present article, the most common inorganic supports for covalent immobilization of the enzymes are reviewed, with particular focus on their advantages and disadvantages in terms of enzyme loadings, operational stability, undesired adsorption, and costs. Mechanisms and methods for covalent immobilization are also discussed, focusing on the most widespread activating approaches (such as glutaraldehyde, cyanogen bromide, divinylsulfone, carbodiimides, carbonyldiimidazole, sulfonyl chlorides, chlorocarbonates, N-hydroxysuccinimides).

摘要

通过几种不同的技术,几种无机材料可能适用于酶的共价固定化。这类材料必须满足严格的标准才能作为固体基质:在水中完全不溶,在操作条件下具有合理的机械强度和耐化学性,能够形成具有高表面积的可控颗粒,对衍生化/功能化试剂具有反应性。在规划无机固体上的共价固定化时,应始终考虑非特异性蛋白质吸附。大量的实验工作表明,二氧化硅、硅酸盐、硼硅酸盐和铝硅酸盐、氧化铝、二氧化钛以及其他氧化物,是尝试将酶固定在无机载体上时的首选材料。最近,某些形式的元素碳、硅和某些金属也被提议用于某些应用。关于衍生化/功能化技术,通过硅烷化使用有机硅烷无疑是研究最多且应用最广泛的,尽管无机桥的形成和与选定酰卤的酰化也已得到深入研究。在本文中,对用于酶共价固定化的最常见无机载体进行了综述,特别关注它们在酶负载、操作稳定性、非期望吸附和成本方面的优缺点。还讨论了共价固定化的机制和方法,重点是最广泛使用的活化方法(如戊二醛、溴化氰、二乙烯砜、碳二亚胺、羰基二咪唑、磺酰氯、氯代碳酸酯、N-羟基琥珀酰亚胺)。

https://cdn.ncbi.nlm.nih.gov/pmc/blobs/464a/6272024/86bd2f33ee08/molecules-19-14139-g001.jpg

文献AI研究员

20分钟写一篇综述,助力文献阅读效率提升50倍。

立即体验

用中文搜PubMed

大模型驱动的PubMed中文搜索引擎

马上搜索

文档翻译

学术文献翻译模型,支持多种主流文档格式。

立即体验