Withington Davinia E, Fontela Patricia S, Harrington Karen P, Tchervenkov Christo, Lands Larry C
Department of Pediatric Anesthesia, McGill University Health Center/Montreal Children's Hospital, 2300 Tupper Street, Room C-1118, Montreal, Quebec Canada ; Department of Pediatrics, McGill University Health Center/Montreal Children's Hospital, Montreal, Canada.
Department of Pediatrics, McGill University Health Center/Montreal Children's Hospital, Montreal, Canada ; Department of Epidemiology, Biostatistics, and Occupational Health, McGill University Montreal, Montreal, Canada.
Springerplus. 2014 Aug 29;3:484. doi: 10.1186/2193-1801-3-484. eCollection 2014.
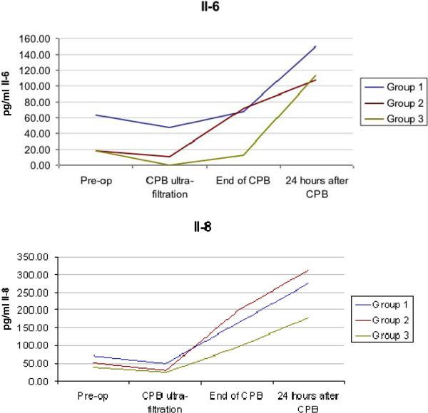
Although commonly used in pediatric cardiopulmonary bypass (CPB) optimal dose and timing of steroid administration is unclear. We hypothesized that early administration of a commonly used dose of methylprednisolone given the evening before surgery (ultra-early) would be more effective in decreasing CPB-related inflammatory response than when given at induction of anesthesia (early) or in pump prime (standard). This was a triple-arm, parallel, active control, superiority RCT including 54 infants <2 years old who were randomised to receive 30 mg/kg methylprednisolone at one of the 3 time points. Outcomes included alveolar-arterial oxygen gradient (AaDO2) during, 24, 48 and 72 hours post-CPB, IL-6, IL-8 and reduced (GSH) to oxidized (GSSG) glutathione ratio (pre-ultrafiltration on CPB, end-CPB and 24 hours), PICU length of stay (LOS) and ventilator days. Data were analysed using descriptive statistics and a random effects regression model. The ultra-early group had higher Risk Adjusted Congenital Heart Surgery Score, lower age and longer CPB times than the other groups. No significant differences in AaDO2, IL-8, PICU LOS and ventilator days were observed between groups. Compared to the ultra-early group, the overall rise in IL-6 in the early and standard groups was lower, -27.8 pg/ml (95% CI -52.7,-2.9) and -35.3 pg/ml (95% CI -64.3,-6.34), respectively. GSH:GSSG was significantly lower in the standard group (-35.9; 95% CI -63.31,-8.5) at 24 hours post-CPB. Ultra-early administration of methylprednisolone does not improve AaDO2 post-CPB, nor diminish cytokine release. Lower GSH:GSSG in the standard group suggests less oxidative stress. However despite statistical adjustments conclusions are limited by the unbalanced randomisation of the groups.
尽管类固醇药物在小儿体外循环(CPB)中常用,但其最佳剂量和给药时间尚不清楚。我们假设,术前一晚(超早期)给予常用剂量的甲泼尼龙进行早期给药,在降低CPB相关炎症反应方面比在麻醉诱导时(早期)或在预充液中(标准)给药更有效。这是一项三臂、平行、活性对照、优效性随机对照试验,纳入了54名2岁以下的婴儿,他们被随机分配在3个时间点之一接受30mg/kg的甲泼尼龙。观察指标包括CPB期间、CPB后24、48和72小时的肺泡-动脉氧分压差(AaDO2)、白细胞介素-6(IL-6)、白细胞介素-8(IL-8)以及还原型(GSH)与氧化型(GSSG)谷胱甘肽比值(CPB预超滤时、CPB结束时和24小时)、儿科重症监护病房(PICU)住院时间(LOS)和机械通气天数。使用描述性统计和随机效应回归模型对数据进行分析。超早期组的风险调整先天性心脏病手术评分更高、年龄更小且CPB时间更长。各组之间在AaDO2、IL-8、PICU LOS和机械通气天数方面未观察到显著差异。与超早期组相比,早期组和标准组IL-6的总体升高幅度较低,分别为-27.8 pg/ml(95%CI -52.7,-2.9)和-35.3 pg/ml(95%CI -64.3,-6.34)。CPB后24小时,标准组的GSH:GSSG显著降低(-35.9;95%CI -63.31,-8.5)。超早期给予甲泼尼龙并不能改善CPB后的AaDO2,也不能减少细胞因子释放。标准组较低的GSH:GSSG表明氧化应激较小。然而,尽管进行了统计调整,但由于各组随机化不均衡,结论受到限制。