Suppr超能文献

使用肾上腺素和 ADP 可更好地检测代谢综合征患者的血小板聚集。

Better detection of platelet aggregation in patients with metabolic syndrome using epinephrine and ADP.

机构信息

Centro de Investigacion UNAM-UABJO, Facultad de Medicina, Universidad Autonoma Benito Juarez de Oaxaca, CIMUU, Zaragoza, 213, Oaxaca, Mexico ; Laboratorio de Patologia Clinica "Dr. Eduardo Pérez Ortega, Oaxaca, Mexico.

Centro de Investigacion UNAM-UABJO, Facultad de Medicina, Universidad Autonoma Benito Juarez de Oaxaca, CIMUU, Zaragoza, 213, Oaxaca, Mexico ; Laboratorio de Patologia Clinica "Dr. Eduardo Pérez Ortega, Oaxaca, Mexico ; Unidad de Bioquimica e Inmunologia Instituto Tecnologico de Oaxaca, Oaxaca, Mexico.

出版信息

Diabetol Metab Syndr. 2014 Aug 29;6(1):93. doi: 10.1186/1758-5996-6-93. eCollection 2014.

Abstract

BACKGROUND

Patients with metabolic syndrome (MS) often have increased platelet aggregation. In order to determine which concentration detects a higher level of platelet aggregation in patients with MS, the agonists ADP and epinephrine were compared.

METHODS

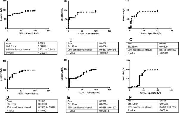
The study included 56 subjects with MS and 53 healthy subjects. Blood pressure, weight, body-mass index, and hip-to-waist ratio were collected from all subjects. Insulin, glucose, total serum cholesterol, HDL-C, LDL-C, total triglycerides, markers of plasma atherogenicity, and indices of insulin resistance were measured in all participants. For aggregometry assays, the Born method was used. Platelets were treated with ADP and epinephrine in decreasing concentrations of 2.34, 1.17, and 0.58 μM, as well as, 11.0, 1.1, and 0.55 μM, respectively. ROC curves were plotted to define the diagnostic efficiency of epinephrine levels for MS.

RESULTS

Among healthy individuals and MS patients significant differences were observed in body weight, body-mass index, waist-circumference, levels of insulin, indices of insulin resistance, and levels of HDL-cholesterol, LDL-cholesterol and total triglycerides. There was a significant difference in the detection of increased platelet aggregation using 11.0 μM and 0.55 μM epinephrine and 0.58 μM ADP. With both agonists, ROC analysis showed an area under the curve of >0.8 for 11.0 μM epinephrine and 2.34 μM ADP. However, for MS patients, 11.0 μM epinephrine had a slightly better diagnostic efficiency than 2.34 μM ADP.

CONCLUSIONS

It was found that 11.0 μM epinephrine and 2.34 μM ADP detected better platelet aggregation in patients with MS than in healthy subject. Both concentrations detected increased platelet aggregation in patients with MS.

摘要

背景

患有代谢综合征(MS)的患者通常会出现血小板聚集增加。为了确定哪种浓度可以检测到 MS 患者的血小板聚集水平更高,比较了激动剂 ADP 和肾上腺素。

方法

该研究纳入了 56 例 MS 患者和 53 例健康对照者。所有受试者均采集血压、体重、体重指数和腰臀比。所有参与者均测量胰岛素、血糖、总血清胆固醇、HDL-C、LDL-C、总甘油三酯、血浆致动脉粥样硬化标志物和胰岛素抵抗指数。用 Born 法进行聚集测定。血小板用 ADP 和肾上腺素以 2.34、1.17 和 0.58 μM 以及 11.0、1.1 和 0.55 μM 的递减浓度处理。绘制 ROC 曲线以定义肾上腺素水平对 MS 的诊断效率。

结果

在健康个体和 MS 患者中,体重、体重指数、腰围、胰岛素水平、胰岛素抵抗指数以及 HDL-胆固醇、LDL-胆固醇和总甘油三酯水平存在显著差异。使用 11.0 μM 和 0.55 μM 肾上腺素和 0.58 μM ADP 检测到血小板聚集增加有显著差异。两种激动剂的 ROC 分析均显示 11.0 μM 肾上腺素和 2.34 μM ADP 的曲线下面积>0.8。然而,对于 MS 患者,11.0 μM 肾上腺素的诊断效率略优于 2.34 μM ADP。

结论

发现 11.0 μM 肾上腺素和 2.34 μM ADP 比健康受试者更能检测到 MS 患者的血小板聚集。两种浓度均能检测到 MS 患者的血小板聚集增加。

https://cdn.ncbi.nlm.nih.gov/pmc/blobs/ce5b/4169807/5282221cccd6/13098_2014_360_Fig1_HTML.jpg

文献AI研究员

20分钟写一篇综述,助力文献阅读效率提升50倍。

立即体验

用中文搜PubMed

大模型驱动的PubMed中文搜索引擎

马上搜索

文档翻译

学术文献翻译模型,支持多种主流文档格式。

立即体验