Suppr超能文献

世界顶级语言热点地区存在语言与物种丰富度的空间一致性,但不存在威胁。

Spatial congruence in language and species richness but not threat in the world's top linguistic hotspot.

作者信息

Turvey Samuel T, Pettorelli Nathalie

机构信息

Zoological Society of London, Institute of Zoology, Regent's Park, London NW1 4RY, UK

Zoological Society of London, Institute of Zoology, Regent's Park, London NW1 4RY, UK.

出版信息

Proc Biol Sci. 2014 Dec 7;281(1796):20141644. doi: 10.1098/rspb.2014.1644.

Abstract

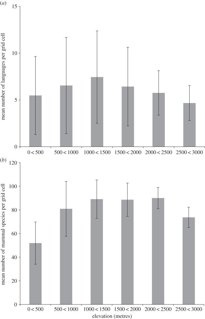
Languages share key evolutionary properties with biological species, and global-level spatial congruence in richness and threat is documented between languages and several taxonomic groups. However, there is little understanding of the functional connection between diversification or extinction in languages and species, or the relationship between linguistic and species richness across different spatial scales. New Guinea is the world's most linguistically rich region and contains extremely high biological diversity. We demonstrate significant positive relationships between language and mammal richness in New Guinea across multiple spatial scales, revealing a likely functional relationship over scales at which infra-island diversification may occur. However, correlations are driven by spatial congruence between low levels of language and species richness. Regional biocultural richness may have showed closer congruence before New Guinea's linguistic landscape was altered by Holocene demographic events. In contrast to global studies, we demonstrate a significant negative correlation across New Guinea between areas with high levels of threatened languages and threatened mammals, indicating that landscape-scale threats differ between these groups. Spatial resource prioritization to conserve biodiversity may not benefit threatened languages, and conservation policy must adopt a multi-faceted approach to protect biocultural diversity as a whole.

摘要

语言与生物物种具有关键的进化特性,并且语言与几个分类群之间在丰富度和威胁方面的全球层面空间一致性已得到记载。然而,对于语言和物种的多样化或灭绝之间的功能联系,或者不同空间尺度上语言丰富度与物种丰富度之间的关系,人们了解甚少。新几内亚是世界上语言最为丰富的地区,拥有极高的生物多样性。我们证明了新几内亚在多个空间尺度上语言丰富度与哺乳动物丰富度之间存在显著的正相关关系,揭示了在可能发生岛屿内部多样化的尺度上两者之间可能存在的功能关系。然而,这种相关性是由低水平的语言丰富度和物种丰富度之间的空间一致性驱动的。在全新世人口事件改变新几内亚的语言格局之前,区域生物文化丰富度可能表现出更紧密的一致性。与全球研究不同,我们证明了在新几内亚,受威胁语言程度高的地区与受威胁哺乳动物之间存在显著的负相关关系,这表明这些群体在景观尺度上受到的威胁有所不同。为保护生物多样性而进行的空间资源优先排序可能不会惠及受威胁语言,保护政策必须采取多方面的方法来整体保护生物文化多样性。

https://cdn.ncbi.nlm.nih.gov/pmc/blobs/d8f0/4213640/536f9d5e8e7b/rspb20141644-g1.jpg

文献检索

告别复杂PubMed语法,用中文像聊天一样搜索,搜遍4000万医学文献。AI智能推荐,让科研检索更轻松。

立即免费搜索

文件翻译

保留排版,准确专业,支持PDF/Word/PPT等文件格式,支持 12+语言互译。

免费翻译文档

深度研究

AI帮你快速写综述,25分钟生成高质量综述,智能提取关键信息,辅助科研写作。

立即免费体验