Suppr超能文献

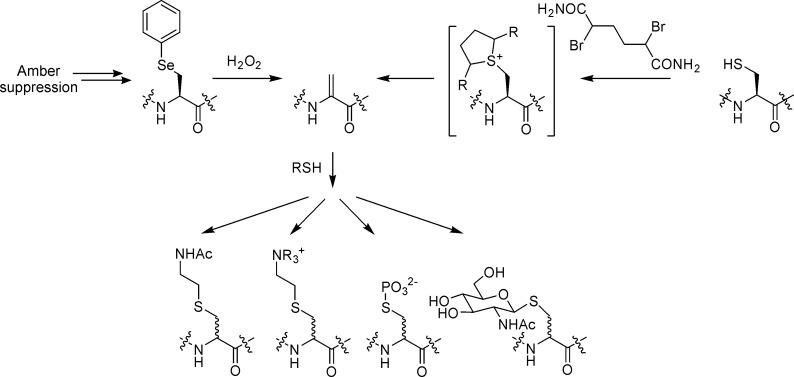
Histones: at the crossroads of peptide and protein chemistry.

作者信息

Müller Manuel M, Muir Tom W

机构信息

Department of Chemistry, Princeton University, Frick Laboratory, Princeton, New Jersey 08544, United States.

出版信息

Chem Rev. 2015 Mar 25;115(6):2296-349. doi: 10.1021/cr5003529. Epub 2014 Oct 20.

Abstract
摘要
https://cdn.ncbi.nlm.nih.gov/pmc/blobs/924f/4378460/daff9168ba0e/cr-2014-003529_0002.jpg

文献AI研究员

20分钟写一篇综述,助力文献阅读效率提升50倍。

立即体验

用中文搜PubMed

大模型驱动的PubMed中文搜索引擎

马上搜索

文档翻译

学术文献翻译模型,支持多种主流文档格式。

立即体验