Suppr超能文献

用运动/追踪比建模运动视差深度。

Modeling depth from motion parallax with the motion/pursuit ratio.

机构信息

Department of Psychology, Center for Visual and Cognitive Neuroscience, North Dakota State University Fargo, ND, USA.

Math Department, University of Iowa Iowa City, IA, USA.

出版信息

Front Psychol. 2014 Oct 6;5:1103. doi: 10.3389/fpsyg.2014.01103. eCollection 2014.

Abstract

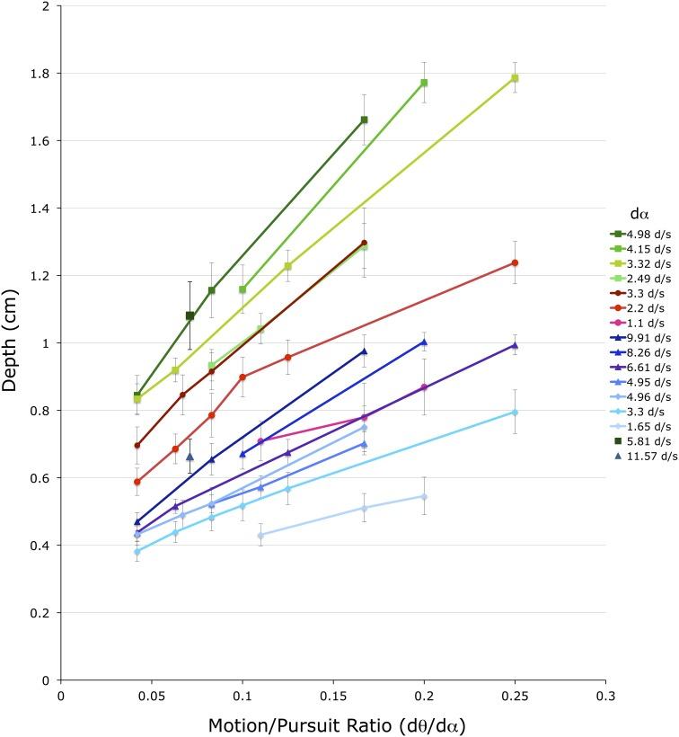
The perception of unambiguous scaled depth from motion parallax relies on both retinal image motion and an extra-retinal pursuit eye movement signal. The motion/pursuit ratio represents a dynamic geometric model linking these two proximal cues to the ratio of depth to viewing distance. An important step in understanding the visual mechanisms serving the perception of depth from motion parallax is to determine the relationship between these stimulus parameters and empirically determined perceived depth magnitude. Observers compared perceived depth magnitude of dynamic motion parallax stimuli to static binocular disparity comparison stimuli at three different viewing distances, in both head-moving and head-stationary conditions. A stereo-viewing system provided ocular separation for stereo stimuli and monocular viewing of parallax stimuli. For each motion parallax stimulus, a point of subjective equality (PSE) was estimated for the amount of binocular disparity that generates the equivalent magnitude of perceived depth from motion parallax. Similar to previous results, perceived depth from motion parallax had significant foreshortening. Head-moving conditions produced even greater foreshortening due to the differences in the compensatory eye movement signal. An empirical version of the motion/pursuit law, termed the empirical motion/pursuit ratio, which models perceived depth magnitude from these stimulus parameters, is proposed.

摘要

从运动视差中感知明确的比例深度依赖于视网膜图像运动和眼外追踪运动信号。运动/追踪比代表了一个动态的几何模型,将这两个近端线索与深度与观察距离的比例联系起来。理解从运动视差中感知深度的视觉机制的一个重要步骤是确定这些刺激参数与经验确定的感知深度大小之间的关系。观察者在三种不同的观察距离下,在头部移动和头部静止两种情况下,将动态运动视差刺激的感知深度与静态双目视差比较刺激进行了比较。立体观看系统为立体刺激提供了眼分离,为视差刺激提供了单眼观看。对于每个运动视差刺激,都估计了一个主观相等点 (PSE),用于产生与运动视差相等的感知深度的双目视差量。与之前的结果相似,运动视差产生的感知深度存在明显的缩短。由于补偿性眼动信号的差异,头部移动的条件产生了更大的缩短。提出了一种经验运动/追踪比,这是一种经验运动/追踪比,它可以根据这些刺激参数来模拟感知深度的大小。

https://cdn.ncbi.nlm.nih.gov/pmc/blobs/fb0b/4186274/0672c376e3a2/fpsyg-05-01103-g0001.jpg

文献AI研究员

20分钟写一篇综述,助力文献阅读效率提升50倍。

立即体验

用中文搜PubMed

大模型驱动的PubMed中文搜索引擎

马上搜索

文档翻译

学术文献翻译模型,支持多种主流文档格式。

立即体验