Division of Neonatology, Department of Pediatrics, Beatrix Children's Hospital, University Medical Center Groningen, University of Groningen , Groningen , Netherlands.
Donders Institute for Brain, Cognition and Behaviour, Radboud University Nijmegen , Nijmegen , Netherlands.
Front Pediatr. 2014 Oct 6;2:106. doi: 10.3389/fped.2014.00106. eCollection 2014.
Preterm infants are exposed to the visual environment earlier than fullterm infants, but whether early exposure affects later development is unclear. Our aim was to investigate whether the development of visual disengagement capacity during the first 6 months postterm was associated with cognitive and motor outcomes at school age, and whether associations differed between fullterms and low-risk preterms.
Seventeen fullterms and ten low-risk preterms were tested in a gaze shifting task every 4 weeks until 6 months postterm. The longitudinal data were converted into single continuous variables by fitting the data with an S-shaped curve (frequencies of looks) or an inverse model (latencies of looks). Neuropsychological test results at school age were converted into composite z scores. We then performed linear regression analyses for each functional domain at school age with the variables measuring infant visual attention as separate predictors and adjusting for maternal level of education and group (fullterms versus preterms). We included an interaction term, visual attention*group, to determine whether predictive relations differed between fullterms and preterms.
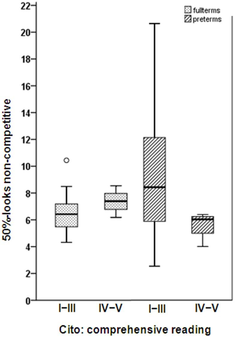
A slower development of disengagement predicted poorer performance on attention, motor skills, and handwriting, irrespective of fullterm or preterm birth. Predictive relationships differed marginally between fullterms and preterms for inhibitory attentional control (P = 0.054) and comprehensive reading (P = 0.064).
This exploratory study yielded no indications of a clear advantage or disadvantage of the extra visual exposure in healthy preterm infants. We tentatively conclude that additional visual exposure does not interfere with the ongoing development of neuronal networks during this vulnerable period of brain development.
早产儿比足月儿更早地接触视觉环境,但早期暴露是否会影响后期发育尚不清楚。我们的目的是研究在出生后 6 个月内,视觉脱离能力的发展是否与学龄期的认知和运动结果有关,以及这种关联在足月儿和低危早产儿之间是否存在差异。
17 名足月儿和 10 名低危早产儿在出生后 6 个月内每 4 周接受一次眼球转移任务测试。通过拟合数据的 S 形曲线(注视次数)或逆模型(注视潜伏期),将纵向数据转换为单个连续变量。学龄时的神经心理学测试结果转换为复合 z 分数。然后,我们使用婴儿视觉注意力的变量作为单独的预测因子,对每个功能域在学龄时进行线性回归分析,并调整母亲的教育水平和组(足月儿与早产儿)。我们包括一个交互项,视觉注意力*组,以确定预测关系在足月儿和早产儿之间是否存在差异。
脱离注意力的发展较慢与注意力、运动技能和书写较差有关,与足月儿或早产儿出生无关。抑制性注意力控制(P=0.054)和综合阅读(P=0.064)方面,预测关系在足月儿和早产儿之间略有差异。
这项探索性研究没有迹象表明健康早产儿额外的视觉暴露有明显的优势或劣势。我们试探性地得出结论,在大脑发育的这个脆弱时期,额外的视觉暴露不会干扰神经元网络的持续发展。