Suppr超能文献

吉西他滨联合卡培他滨(Gem-Cape)每两周一次用于化疗难治性转移性结直肠癌。

Gemcitabine plus capecitabine (Gem-Cape) biweekly in chemorefractory metastatic colorectal cancer.

作者信息

Jiménez-Fonseca P, Solis M P, Garrido M, Faez L, Rodriguez D, Ruiz A L, Sanchez Lorenzo M L, Uriol E, Menendez M D, Viéitez J M

机构信息

Medical Oncology Department, Asturias Central University Hospital, Carretera de Rubín s/n Finca "La Cadellada", 33011, Oviedo, Asturias, Spain,

出版信息

Clin Transl Oncol. 2015 May;17(5):384-92. doi: 10.1007/s12094-014-1243-1. Epub 2014 Nov 27.

Abstract

PURPOSE

A proportion of patients with metastatic colorectal cancer (mCRC) are still able to continue with active therapy after their progression to fluoropyrimidines, oxaliplatin, and irinotecan regimens. Studies suggest that gemcitabine and fluoropyrimidines are synergic antimetabolites. The purpose was to evaluate gemcitabine-capecitabine (Gem-Cape) in heavily pretreated mCRC and to thus assess possible predictive factors for progression-free survival (PFS) and overall survival (OS).

PATIENTS AND METHODS

This analysis was performed on 119 evaluable patients pretreated with fluoropyrimidines, oxaliplatin, irinotecan, and biological agents between June 2001 and July 2011. Patients received gemcitabine 1,000 mg/m(2) day 1 and capecitabine 1,000 mg/m(2) bid for 7 days every 2 weeks.

RESULTS

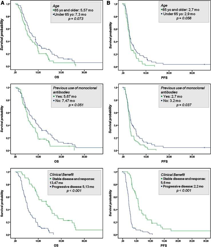
The general characteristics were ECOG 0-1, 89 %; male, 68 %, and median age 63 years. In total, 61 % had received two chemotherapy lines, while 39 % had received three or more. Objective response rates and stable disease rates at 3 months were 6.72 and 37.81 %, equalling a clinical benefit of 44.53 %. The median PFS and OS were 2.87 months [95 % confidence interval (CI) 2.53-3.17 months] and 6.53 months (95 % CI 5.33-8.77), respectively. The most frequent toxicities were grades 1-2, anemia (22 %), thrombocytopenia (10 %), and hand-foot syndrome (9 %); grade ≥3, diarrhea (2 %), with no treatment-related discontinuations. No treatment-related deaths were reported. Statistical significance was obtained by subgroups, assessing clinical benefits and objective responses for PFS and OS. Moreover, patients under 65 tended to have a better PFS.

CONCLUSION

These data suggest that Gem-Cape is a tolerable and feasible regimen, associated with clinical benefit in non-selected, heavily pretreated, mCRC patients.

摘要

目的

一部分转移性结直肠癌(mCRC)患者在疾病进展至氟嘧啶、奥沙利铂和伊立替康方案后仍能够继续接受积极治疗。研究表明,吉西他滨和氟嘧啶是协同抗代谢物。本研究旨在评估吉西他滨 - 卡培他滨(Gem - Cape)方案用于经过多线治疗的mCRC患者的疗效,并评估无进展生存期(PFS)和总生存期(OS)的可能预测因素。

患者与方法

本分析纳入了2001年6月至2011年7月期间接受过氟嘧啶、奥沙利铂、伊立替康和生物制剂治疗的119例可评估患者。患者接受吉西他滨1000mg/m²,第1天给药,卡培他滨1000mg/m²,每日两次,每2周给药7天。

结果

患者的一般特征为:东部肿瘤协作组(ECOG)体能状态评分为0 - 1分的占89%;男性占68%,中位年龄63岁。总体而言,61%的患者接受过两线化疗,39%的患者接受过三线或更多线化疗。3个月时的客观缓解率和疾病稳定率分别为6.72%和37.81%,临床获益率为44.53%。中位PFS和OS分别为2.87个月[95%置信区间(CI)2.53 - 3.17个月]和6.53个月(95%CI 5.33 - 8.77)。最常见的毒性反应为1 - 2级,包括贫血(22%)、血小板减少(10%)和手足综合征(9%);≥3级的有腹泻(2%),无因治疗相关的停药情况。未报告与治疗相关的死亡病例。通过亚组分析得出统计学意义,评估了PFS和OS的临床获益和客观缓解情况。此外,65岁以下的患者PFS往往更好。

结论

这些数据表明,Gem - Cape方案是一种可耐受且可行的方案,对未经过选择、接受过多线治疗的mCRC患者具有临床获益。

https://cdn.ncbi.nlm.nih.gov/pmc/blobs/36b7/4544491/d841eb6b2db7/12094_2014_1243_Fig1_HTML.jpg

文献AI研究员

20分钟写一篇综述,助力文献阅读效率提升50倍。

立即体验

用中文搜PubMed

大模型驱动的PubMed中文搜索引擎

马上搜索

文档翻译

学术文献翻译模型,支持多种主流文档格式。

立即体验