Xue Gang-Ping, Drenth Janneke, McIntyre C Lynne
CSIRO Plant Industry, 306 Carmody Road, St Lucia, Qld 4067, Australia
CSIRO Plant Industry, 306 Carmody Road, St Lucia, Qld 4067, Australia.
J Exp Bot. 2015 Feb;66(3):1025-39. doi: 10.1093/jxb/eru462. Epub 2014 Nov 26.
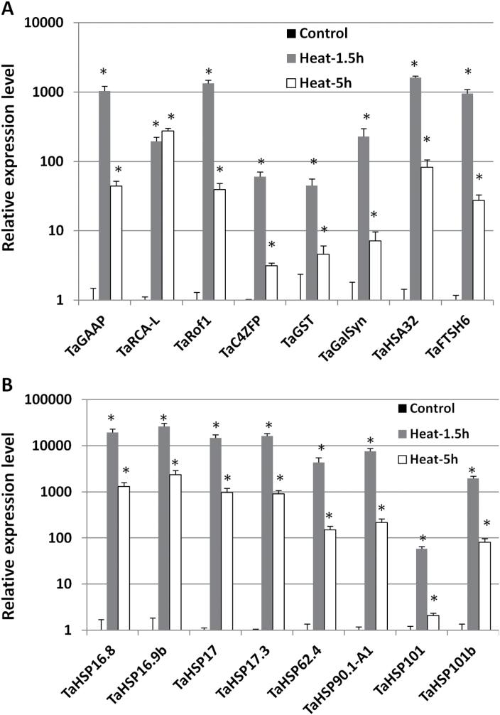
Heat stress is a significant environmental factor adversely affecting crop yield. Crop adaptation to high-temperature environments requires transcriptional reprogramming of a suite of genes involved in heat stress protection. This study investigated the role of TaHsfA6f, a member of the A6 subclass of heat shock transcription factors, in the regulation of heat stress protection genes in Triticum aestivum (bread wheat), a poorly understood phenomenon in this crop species. Expression analysis showed that TaHsfA6f was expressed constitutively in green organs but was markedly up-regulated during heat stress. Overexpression of TaHsfA6f in transgenic wheat using a drought-inducible promoter resulted in up-regulation of heat shock proteins (HSPs) and a number of other heat stress protection genes that included some previously unknown Hsf target genes such as Golgi anti-apoptotic protein (GAAP) and the large isoform of Rubisco activase. Transgenic wheat plants overexpressing TaHsfA6f showed improved thermotolerance. Transactivation assays showed that TaHsfA6f activated the expression of reporter genes driven by the promoters of several HSP genes (TaHSP16.8, TaHSP17, TaHSP17.3, and TaHSP90.1-A1) as well as TaGAAP and TaRof1 (a co-chaperone) under non-stress conditions. DNA binding analysis revealed the presence of high-affinity TaHsfA6f-binding heat shock element-like motifs in the promoters of these six genes. Promoter truncation and mutagenesis analyses identified TaHsfA6f-binding elements that were responsible for transactivation of TaHSP90.1-A1 and TaGAAP by TaHsfA6f. These data suggest that TaHsfA6f is a transcriptional activator that directly regulates TaHSP, TaGAAP, and TaRof1 genes in wheat and its gene regulatory network has a positive impact on thermotolerance.
热胁迫是严重影响作物产量的环境因素。作物适应高温环境需要对一系列参与热胁迫保护的基因进行转录重编程。本研究调查了热激转录因子A6亚类成员TaHsfA6f在普通小麦(面包小麦)热胁迫保护基因调控中的作用,这在该作物物种中是一个了解较少的现象。表达分析表明,TaHsfA6f在绿色器官中组成型表达,但在热胁迫期间显著上调。使用干旱诱导型启动子在转基因小麦中过表达TaHsfA6f导致热激蛋白(HSPs)和许多其他热胁迫保护基因上调,其中包括一些以前未知的热激转录因子靶基因,如高尔基体抗凋亡蛋白(GAAP)和核酮糖-1,5-二磷酸羧化酶/加氧酶激活酶的大亚基。过表达TaHsfA6f的转基因小麦植株表现出耐热性提高。反式激活分析表明,在非胁迫条件下,TaHsfA6f激活了由几个热激蛋白基因(TaHSP16.8、TaHSP17、TaHSP17.3和TaHSP90.1-A1)以及TaGAAP和TaRof1(一种辅助伴侣蛋白)的启动子驱动的报告基因的表达。DNA结合分析揭示了这六个基因的启动子中存在高亲和力的TaHsfA6f结合热激元件样基序。启动子截短和诱变分析确定了负责TaHsfA6f对TaHSP90.1-A1和TaGAAP进行反式激活的TaHsfA6f结合元件。这些数据表明,TaHsfA6f是一种转录激活因子,直接调控小麦中的TaHSP、TaGAAP和TaRof1基因,其基因调控网络对耐热性有积极影响。