Suppr超能文献

胶质瘤细胞系中(99m)锝-替曲膦与(99m)锝-甲氧基异丁基异腈摄取情况的比较:P-糖蛋白表达的作用

Comparison of (99m)tc-tetrofosmin and (99m)tc-sestamibi uptake in glioma cell lines: the role of p-glycoprotein expression.

作者信息

Alexiou George A, Xourgia Xanthi, Vartholomatos Evrysthenis, Tsiouris Spyridon, Kalef-Ezra John A, Fotopoulos Andreas D, Kyritsis Athanasios P

机构信息

Neurosurgical Institute, University of Ioannina, Stavros Niarchos Avenue, 45500 Ioannina, Greece.

Department of Nuclear Medicine, University Hospital of Ioannina, Stavros Niarchos Avenue, 45500 Ioannina, Greece.

出版信息

Int J Mol Imaging. 2014;2014:471032. doi: 10.1155/2014/471032. Epub 2014 Nov 10.

Abstract

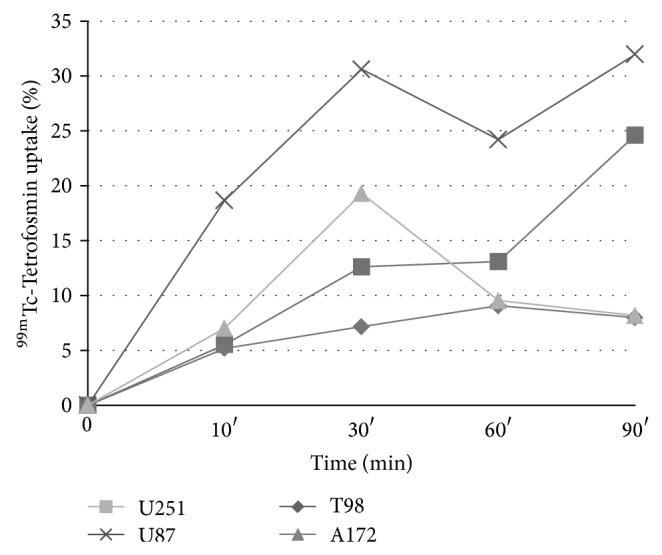
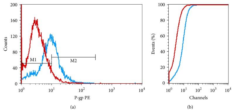
(99m)Tc-Tetrofosmin ((99m)Tc-TF) and (99m)Tc-Sestamibi ((99m)Tc-MIBI) are SPECT tracers that have been used for brain tumor imaging. Tumor's multidrug resistance phenotype, namely, P-glycoprotein (p-gp), and the multidrug resistance related proteins (MRPs) expression have been suggested to influence both tracers' uptake. In the present study we set out to compare (99m)Tc-TF and (99m)Tc-MIBI uptake in high-grade glioma cell lines and to investigate the influence of gliomas p-gp expression on both tracers' uptake. We used four glioma cell lines (U251MG, A172, U87MG, and T98G). The expression of p-gp protein was evaluated by flow cytometry. Twenty μCi (7.4·10(5) Bq) of (99m)Tc-TF and (99m)Tc-MIBI were used. The radioactivity in the cellular lysate was measured with a dose calibrator. P-gp was significantly expressed only in the U251MG cell line (P < 0.001). In all gliomas cell lines (U251MG, U87MG, A172, and T98G) the (99m)Tc-TF uptake was significantly higher than (99m)Tc-sestamibi. The U251MG cell line, in which significant p-gp expression was documented, exhibited the strongest uptake difference. (99m)Tc-TF uptake was higher than (99m)Tc-MIBI in all studied high-grade glioma cell lines. Thus, (99m)Tc-TF may be superior to (99m)Tc-MIBI for glioma imaging in vivo.

摘要

锝-99m 替曲膦((99m)Tc-TF)和锝-99m 甲氧基异丁基异腈((99m)Tc-MIBI)是用于脑肿瘤成像的单光子发射计算机断层显像(SPECT)示踪剂。肿瘤的多药耐药表型,即 P-糖蛋白(p-gp)和多药耐药相关蛋白(MRPs)的表达,被认为会影响这两种示踪剂的摄取。在本研究中,我们着手比较(99m)Tc-TF 和(99m)Tc-MIBI 在高级别胶质瘤细胞系中的摄取情况,并研究胶质瘤 p-gp 表达对这两种示踪剂摄取的影响。我们使用了四种胶质瘤细胞系(U251MG、A172、U87MG 和 T98G)。通过流式细胞术评估 p-gp 蛋白的表达。使用了 20 μCi(7.4·10(5) Bq)的(99m)Tc-TF 和(99m)Tc-MIBI。用剂量校准器测量细胞裂解物中的放射性。仅在 U251MG 细胞系中 p-gp 有显著表达(P < 0.001)。在所有胶质瘤细胞系(U251MG、U87MG、A172 和 T98G)中,(99m)Tc-TF 的摄取显著高于(99m)Tc-甲氧基异丁基异腈。记录到有显著 p-gp 表达的 U251MG 细胞系,其摄取差异最为明显。在所有研究的高级别胶质瘤细胞系中,(99m)Tc-TF 的摄取高于(99m)Tc-MIBI。因此,在体内胶质瘤成像方面,(99m)Tc-TF 可能优于(99m)Tc-MIBI。

https://cdn.ncbi.nlm.nih.gov/pmc/blobs/2d86/4243134/20f83ae1bf85/IJMI2014-471032.001.jpg

文献检索

告别复杂PubMed语法,用中文像聊天一样搜索,搜遍4000万医学文献。AI智能推荐,让科研检索更轻松。

立即免费搜索

文件翻译

保留排版,准确专业,支持PDF/Word/PPT等文件格式,支持 12+语言互译。

免费翻译文档

深度研究

AI帮你快速写综述,25分钟生成高质量综述,智能提取关键信息,辅助科研写作。

立即免费体验