Suppr超能文献

基于NiOOH/Ni3S2/3D石墨烯和Fe3O4/石墨烯复合电极的高能量密度不对称超级电容器。

High energy density asymmetric supercapacitor based on NiOOH/Ni3S2/3D graphene and Fe3O4/graphene composite electrodes.

作者信息

Lin Tsung-Wu, Dai Chao-Shuan, Hung Kuan-Chung

机构信息

Department of Chemistry, Tunghai University, No. 181, Sec. 3, Taichung Port Rd., Taichung City 40704, Taiwan.

出版信息

Sci Rep. 2014 Dec 2;4:7274. doi: 10.1038/srep07274.

Abstract

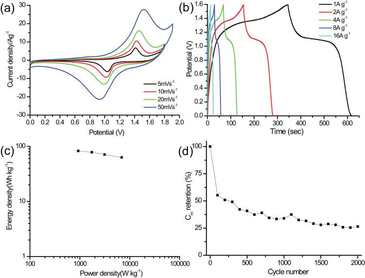
The application of the composite of Ni3S2 nanoparticles and 3D graphene as a novel cathode material for supercapacitors is systematically investigated in this study. It is found that the electrode capacitance increases by up to 111% after the composite electrode is activated by the consecutive cyclic voltammetry scanning in 1 M KOH. Due to the synergistic effect, the capacitance and the diffusion coefficient of electrolyte ions of the activated composite electrode are ca. 3.7 and 6.5 times higher than those of the Ni3S2 electrode, respectively. Furthermore, the activated composite electrode exhibits an ultrahigh specific capacitance of 3296 F/g and great cycling stability at a current density of 16 A/g. To obtain the reasonable matching of cathode/anode electrodes, the composite of Fe(3)O(4) nanoparticles and chemically reduced graphene oxide (Fe(3)O(4)/rGO) is synthesized as the anode material. The Fe(3)O(4)/rGO electrode exhibits the specific capacitance of 661 F/g at 1 A/g and excellent rate capability. More importantly, an asymmetric supercapacitor fabricated by two different composite electrodes can be operated reversibly between 0 and 1.6 V and obtain a high specific capacitance of 233 F/g at 5 mV/s, which delivers a maximum energy density of 82.5 Wh/kg at a power density of 930 W/kg.

摘要

本研究系统地研究了Ni3S2纳米颗粒与3D石墨烯的复合材料作为超级电容器新型阴极材料的应用。研究发现,复合电极在1 M KOH中通过连续循环伏安扫描活化后,电极电容增加了高达111%。由于协同效应,活化复合电极的电容和电解质离子扩散系数分别比Ni3S2电极高约3.7倍和6.5倍。此外,活化复合电极在16 A/g的电流密度下表现出3296 F/g的超高比电容和出色的循环稳定性。为了实现阴极/阳极电极的合理匹配,合成了Fe(3)O(4)纳米颗粒与化学还原氧化石墨烯的复合材料(Fe(3)O(4)/rGO)作为阳极材料。Fe(3)O(4)/rGO电极在1 A/g时表现出661 F/g的比电容和优异的倍率性能。更重要的是,由两种不同复合电极制成的非对称超级电容器可在0至1.6 V之间可逆运行,在5 mV/s时获得233 F/g的高比电容,在930 W/kg的功率密度下提供82.5 Wh/kg的最大能量密度。

https://cdn.ncbi.nlm.nih.gov/pmc/blobs/102a/4250917/13480055b694/srep07274-f1.jpg

文献AI研究员

20分钟写一篇综述,助力文献阅读效率提升50倍。

立即体验

用中文搜PubMed

大模型驱动的PubMed中文搜索引擎

马上搜索

文档翻译

学术文献翻译模型,支持多种主流文档格式。

立即体验