• 文献检索
  • 文档翻译
  • 深度研究
  • 学术资讯
  • Suppr Zotero 插件Zotero 插件
  • 邀请有礼
  • 套餐&价格
  • 历史记录
应用&插件
Suppr Zotero 插件Zotero 插件浏览器插件Mac 客户端Windows 客户端微信小程序
定价
高级版会员购买积分包购买API积分包
服务
文献检索文档翻译深度研究API 文档MCP 服务
关于我们
关于 Suppr公司介绍联系我们用户协议隐私条款
关注我们

Suppr 超能文献

核心技术专利:CN118964589B侵权必究
粤ICP备2023148730 号-1Suppr @ 2026

文献检索

告别复杂PubMed语法,用中文像聊天一样搜索,搜遍4000万医学文献。AI智能推荐,让科研检索更轻松。

立即免费搜索

文件翻译

保留排版,准确专业,支持PDF/Word/PPT等文件格式,支持 12+语言互译。

免费翻译文档

深度研究

AI帮你快速写综述,25分钟生成高质量综述,智能提取关键信息,辅助科研写作。

立即免费体验

急性肾盂肾炎合并大肠埃希菌菌血症后发生的巨细胞性间质性肾炎:病例报告

Megalocytic interstitial nephritis following acute pyelonephritis with Escherichia coli bacteremia: a case report.

作者信息

Kwon Hee Jin, Yoo Kwai Han, Kim In Young, Lee Seulkee, Jang Hye Ryoun, Kwon Ghee Young

机构信息

Department of Medicine, Sungkyunkwan University School of Medicine, Seoul, Korea.

Division of Nephrology, Department of Medicine, Samsung Medical Center, Sungkyunkwan University School of Medicine, Seoul, Korea.

出版信息

J Korean Med Sci. 2015 Jan;30(1):110-4. doi: 10.3346/jkms.2015.30.1.110. Epub 2014 Dec 23.

DOI:10.3346/jkms.2015.30.1.110
PMID:25552891
原文链接:https://pmc.ncbi.nlm.nih.gov/articles/PMC4278017/
Abstract

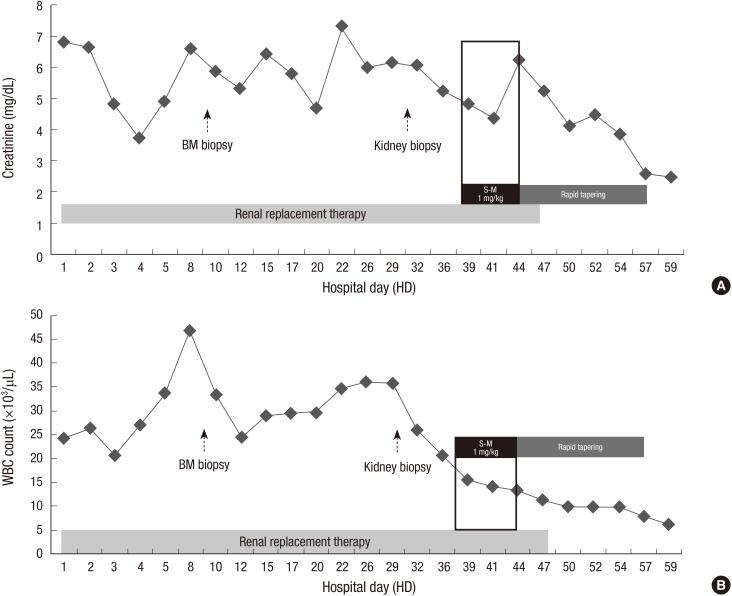
Megalocytic interstitial nephritis is a rare form of kidney disease caused by chronic inflammation. We report a case of megalocytic interstitial nephritis occurring in a 45-yrold woman who presented with oliguric acute kidney injury and acute pyelonephritis accompanied by Escherichia coli bacteremia. Her renal function was not recovered despite adequate duration of susceptible antibiotic treatment, accompanied by negative conversion of bacteremia and bacteriuria. Kidney biopsy revealed an infiltration of numerous histiocytes without Michaelis-Gutmann bodies. The patient's renal function was markedly improved after short-term treatment with high-dose steroid.

摘要

巨细胞性间质性肾炎是一种由慢性炎症引起的罕见肾病形式。我们报告一例发生在一名45岁女性的巨细胞性间质性肾炎病例,该患者表现为少尿性急性肾损伤和急性肾盂肾炎,并伴有大肠杆菌菌血症。尽管接受了足够疗程的敏感抗生素治疗,其肾功能仍未恢复,同时菌血症和菌尿症转阴。肾活检显示有大量组织细胞浸润,但无迈克尔is-Gutmann小体。患者经大剂量类固醇短期治疗后肾功能明显改善。

https://cdn.ncbi.nlm.nih.gov/pmc/blobs/d66d/4278017/bd0e89eed84b/jkms-30-110-g002.jpg
https://cdn.ncbi.nlm.nih.gov/pmc/blobs/d66d/4278017/9218c44451ce/jkms-30-110-g001.jpg
https://cdn.ncbi.nlm.nih.gov/pmc/blobs/d66d/4278017/bd0e89eed84b/jkms-30-110-g002.jpg
https://cdn.ncbi.nlm.nih.gov/pmc/blobs/d66d/4278017/9218c44451ce/jkms-30-110-g001.jpg
https://cdn.ncbi.nlm.nih.gov/pmc/blobs/d66d/4278017/bd0e89eed84b/jkms-30-110-g002.jpg

相似文献

1
Megalocytic interstitial nephritis following acute pyelonephritis with Escherichia coli bacteremia: a case report.急性肾盂肾炎合并大肠埃希菌菌血症后发生的巨细胞性间质性肾炎:病例报告
J Korean Med Sci. 2015 Jan;30(1):110-4. doi: 10.3346/jkms.2015.30.1.110. Epub 2014 Dec 23.
2
Tumefactive megalocytic interstitial nephritis in a patient with Escherichia coli bacteremia.一名患有大肠杆菌菌血症患者的肿块状巨细胞间质性肾炎
Am J Kidney Dis. 1995 Jun;25(6):928-33. doi: 10.1016/0272-6386(95)90577-4.
3
Chronic granulomatous interstitial nephritis: unusual complication of acute pyelonephritis.慢性肉芽肿性间质性肾炎:急性肾盂肾炎的罕见并发症。
Nephron. 1996;72(2):305-7. doi: 10.1159/000188860.
4
Megalocytic interstitial nephritis, xanthogranulomatous pyelonephritis, and malakoplakia. An ultrastructural comparison.巨细胞性间质性肾炎、黄色肉芽肿性肾盂肾炎和软斑病。超微结构比较。
Am J Clin Pathol. 1981 Mar;75(3):333-44. doi: 10.1093/ajcp/75.3.333.
5
Azithromycin-Induced, Biopsy-Proven Acute Interstitial Nephritis in an Adult Successfully Treated with Low-Dose Corticosteroids.阿奇霉素所致、经活检证实的成人急性间质性肾炎,采用小剂量糖皮质激素成功治疗。
Pharmacotherapy. 2015 Nov;35(11):e169-74. doi: 10.1002/phar.1660.
6
[Megalocytic interstitial nephritis. A contribution to the differential diagnosis of the large insufficient kidney].[巨细胞性间质性肾炎。对大肾实质不足的鉴别诊断的贡献]
Schweiz Med Wochenschr. 1981 Aug 4;111(31-32):1153-8.
7
Sustained Tubulointerstitial Inflammation in Kidney with Severe Leptospirosis.严重钩端螺旋体病患者肾脏的持续性肾小管间质性炎症
Intern Med. 2017;56(10):1179-1184. doi: 10.2169/internalmedicine.56.8084. Epub 2017 May 15.
8
Renal parenchymal malakoplakia. Histologic spectrum and its relationship to megalocytic interstitial nephritis and xanthogranulomatous pyelonephritis.肾实质软斑症。组织学谱及其与巨细胞间质性肾炎和黄色肉芽肿性肾盂肾炎的关系。
Am J Surg Pathol. 1989 Mar;13(3):225-36.
9
Acute interstitial nephritis. A distinct clinico-pathological entity?
Nephron. 1972;9(1):10-26. doi: 10.1159/000180130.
10
Acute kidney injury from pyelonephritis in an elderly man: case report.老年男性肾盂肾炎致急性肾损伤:病例报告。
Int Urol Nephrol. 2011 Sep;43(3):925-8. doi: 10.1007/s11255-011-0019-6. Epub 2011 Jul 8.

引用本文的文献

1
Regenerative Aesthetics: A Genuine Frontier or Just a Facet of Regenerative Medicine: A Systematic Review.再生美学:是一个真正的前沿领域还是仅仅是再生医学的一个方面:一项系统综述
Aesthetic Plast Surg. 2025 Jan;49(1):341-355. doi: 10.1007/s00266-024-04287-5. Epub 2024 Aug 28.
2
The diagnosis of acute interstitial nephritis caused by infection versus antibiotic-induced interstitial nephritis: a narrative review.感染所致急性间质性肾炎与抗生素诱发的间质性肾炎的诊断:一篇叙述性综述
Clin Kidney J. 2024 Mar 4;17(4):sfae054. doi: 10.1093/ckj/sfae054. eCollection 2024 Apr.
3
Persistent Aseptic Pyelonephritis After Acute Bacterial Pyelonephritis: Possible Role of Corticosteroids.

本文引用的文献

1
Silent Colonic Malakoplakia in a Living-Donor Kidney Transplant Recipient Diagnosed during Annual Medical Examination.活体供肾移植受者年度体检时诊断出的无症状结肠马耳他布罗菌病。
Korean J Pathol. 2013 Apr;47(2):163-6. doi: 10.4132/KoreanJPathol.2013.47.2.163. Epub 2013 Apr 24.
2
Current status and issues of C1q nephropathy.C1q肾病的现状与问题
Clin Exp Nephrol. 2009 Aug;13(4):263-274. doi: 10.1007/s10157-009-0159-5. Epub 2009 Apr 17.
3
Malakoplakia of the kidney.肾软斑病
急性细菌性肾盂肾炎后持续性无菌性肾盂肾炎:皮质类固醇的可能作用
Kidney Int Rep. 2022 Jun 6;7(8):1897-1900. doi: 10.1016/j.ekir.2022.05.025. eCollection 2022 Aug.
Am J Kidney Dis. 2008 Feb;51(2):326-30. doi: 10.1053/j.ajkd.2007.08.029.
4
Renal parenchymal malacoplakia: a different stage of xanthogranulomatous pyelonephritis?
J Pediatr Surg. 2007 Jul;42(7):E35-8. doi: 10.1016/j.jpedsurg.2007.05.005.
5
Renal parenchymal malacoplakia: a rare cause of ARF with a review of recent literature.肾实质软斑症:急性肾衰竭的罕见病因及近期文献综述
Am J Kidney Dis. 2003 Jun;41(6):E13-7. doi: 10.1016/s0272-6386(03)00367-6.
6
Anuric acute renal failure secondary to megalocytic interstitial nephritis in a patient with Behcet's disease.白塞病患者巨细胞间质性肾炎继发无尿性急性肾衰竭。
Clin Nephrol. 2000 Dec;54(6):498-500.
7
Malacoplakia: von Hansemann's disease.软斑病:汉斯曼氏病
BJU Int. 1999 Sep;84(4):464-9. doi: 10.1046/j.1464-410x.1999.00198.x.
8
Renal parenchymal malacoplakia and megalocytic interstitial nephritis: clinical and histological features. Report of two cases and review of the literature.肾实质软斑病和巨细胞间质性肾炎:临床及组织学特征。两例报告并文献复习。
Am J Nephrol. 1993;13(6):483-8. doi: 10.1159/000168668.
9
Tumefactive megalocytic interstitial nephritis in a patient with Escherichia coli bacteremia.一名患有大肠杆菌菌血症患者的肿块状巨细胞间质性肾炎
Am J Kidney Dis. 1995 Jun;25(6):928-33. doi: 10.1016/0272-6386(95)90577-4.
10
Malakoplakia of kidney and urinary tract. Report of a case of fatal outcome.
Int Urol Nephrol. 1981;13(1):55-63. doi: 10.1007/BF02082072.