Suppr超能文献

术前口服碳水化合物通过PI3K/AKT/mTOR途径改善大鼠术后胰岛素抵抗。

Preoperative oral carbohydrate improved postoperative insulin resistance in rats through the PI3K/AKT/mTOR pathway.

作者信息

Wang Zhiguo, Liu Yiqing, Li Qi, Ruan Canping, Wu Bin, Wang Qiang, Hu Zhiqian, Qin Huanlong

机构信息

Department of General Surgery, Shanghai Chang Zheng Hospital, Second Military Medical University, Shanghai, China (mainland).

Library, Second Military Medical University, Shanghai, China (mainland).

出版信息

Med Sci Monit. 2015 Jan 1;21:9-17. doi: 10.12659/MSM.891063.

Abstract

BACKGROUND

Preoperative oral carbohydrate (OCH) improves postoperative insulin resistance (PIR) and insulin sensitivity. However, the exact mechanisms involved in the improvement of PIR with respect to preoperative OCH are still not clear. The aim of this study was to investigate the involvement of preoperative OCH and PI3K/AKT/mTOR pathway in reducing PIR in rats.

MATERIAL AND METHODS

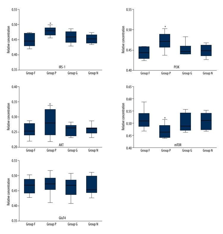
Forty male Sprague-Dawley rats were randomly assigned to PreOp, glucose, saline, and fasting groups. Rats in the PreOp, glucose, and saline groups received OCH, 5% glucose solution, and saline, respectively. Rats in the fasting group did not receive anything but were fasted 3 h before surgery. Blood glucose, insulin and leucine levels, and insulin resistance, secretion, and sensitivity indexes were measured before and after surgery. mRNA and protein (total and phosphorylated) levels of mTOR, IRS-1, PI3K, PKB/AKT, and GlUT4 were measured using real-time polymerase chain reaction and Western blot in skeletal muscles.

RESULTS

In the PIR experiment, blood glucose, serum insulin, insulin resistance, and serum leucine levels were all significantly lower in the PreOp group than in the other 3 groups (P<0.05) after surgery. HOMA-ISI were higher in the PreOp group vs the other 3 groups after surgery (P<0.05), and HOMA-b in the PreOp group was higher than that in the other 3 groups at 30 and 120 min after surgery. Additionally, post-operative phosphorylated IRS-1, PI3K, and AKT protein levels were significantly higher in the PreOp group than in the other 3 groups (P<0.05), but no significant differences were observed in their respective protein levels (P>0.05).

CONCLUSIONS

OCH decreases postoperative insulin resistance and improves postoperative insulin sensitivity in skeletal muscles through the PI3K/AKT/mTOR pathway.

摘要

背景

术前口服碳水化合物(OCH)可改善术后胰岛素抵抗(PIR)和胰岛素敏感性。然而,术前OCH改善PIR的确切机制仍不清楚。本研究的目的是探讨术前OCH和PI3K/AKT/mTOR通路在降低大鼠PIR中的作用。

材料与方法

40只雄性Sprague-Dawley大鼠随机分为术前组、葡萄糖组、生理盐水组和禁食组。术前组、葡萄糖组和生理盐水组的大鼠分别接受OCH、5%葡萄糖溶液和生理盐水。禁食组的大鼠在手术前3小时未接受任何东西,仅禁食。在手术前后测量血糖、胰岛素和亮氨酸水平,以及胰岛素抵抗、分泌和敏感性指标。使用实时聚合酶链反应和蛋白质免疫印迹法测量骨骼肌中mTOR、IRS-1、PI3K、PKB/AKT和GlUT4的mRNA和蛋白质(总量和磷酸化)水平。

结果

在PIR实验中,术后术前组的血糖、血清胰岛素、胰岛素抵抗和血清亮氨酸水平均显著低于其他3组(P<0.05)。术后术前组的HOMA-ISI高于其他3组(P<0.05),且术前组术后30分钟和120分钟的HOMA-b高于其他3组。此外,术后术前组磷酸化IRS-1、PI3K和AKT蛋白水平显著高于其他3组(P<0.05),但各自蛋白水平无显著差异(P>0.05)。

结论

OCH通过PI3K/AKT/mTOR通路降低术后胰岛素抵抗并改善骨骼肌术后胰岛素敏感性。

https://cdn.ncbi.nlm.nih.gov/pmc/blobs/d712/4288420/4946526d3d97/medscimonit-21-9-g001.jpg

文献AI研究员

20分钟写一篇综述,助力文献阅读效率提升50倍。

立即体验

用中文搜PubMed

大模型驱动的PubMed中文搜索引擎

马上搜索

文档翻译

学术文献翻译模型,支持多种主流文档格式。

立即体验