Suppr超能文献

体外评价德氏乳杆菌菌株产生的胞外多糖的免疫特性。

In vitro evaluation of immunological properties of extracellular polysaccharides produced by Lactobacillus delbrueckii strains.

机构信息

Department of Bioresource Science, Organization of Advanced Science and Technology, Kobe University, 1-1 Rokko-dai, Nada-ku, Kobe 657-8501, Japan.

Department of Bioresource Science, Organization of Advanced Science and Technology, Kobe University, 1-1 Rokko-dai, Nada-ku, Kobe 657-8501, Japan ; Health Bioscience Team, Organization of Advanced Science and Technology, Kobe University, 1-1 Rokko-dai, Nada-ku, Kobe 657-8501, Japan.

出版信息

Biosci Microbiota Food Health. 2015;34(1):11-23. doi: 10.12938/bmfh.2014-013. Epub 2014 Nov 8.

Abstract

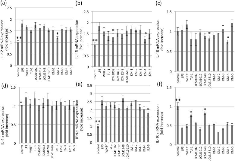
We investigated the variation in immunological properties of the extracellular polysaccharides (EPSs) produced by different Lactobacillus delbrueckii strains as well as that of their monosaccharide composition. The monosaccharide composition of each EPS produced by L. delbrueckii strains, as determined by thin layer chromatography (TLC), showed an appreciable variation in a strain-dependent manner, which could be broadly assigned to 4 TLC groups. Meanwhile, the immunological properties of the EPSs produced by 10 L. delbrueckii strains were evaluated in a semi-intestinal model using a Transwell co-culture system, which employed human intestinal epithelial Caco-2 cells on the apical side and murine macrophage RAW264.7 cells on the basolateral side. Each EPS was added to the apical side to allow direct contact with Caco-2 cells and incubated for 6 hr. After incubation, the amounts of TNF-α and several cytokines that had been released by either RAW264.7 or Caco-2 cells were then quantified by cytotoxic activity on L929 cells or the RT-PCR method. It was found that the EPS-stimulated RAW264.7 cells express different profiles of cytokine production via Caco-2 cells but that the profile difference could not be related to the above TLC grouping. The evidence suggests that the EPSs of L. delbrueckii strains are diverse not only in their biochemical structure but also in their immunological properties.

摘要

我们研究了不同德氏乳杆菌菌株所产生的胞外多糖(EPS)的免疫学性质及其单糖组成的变化。通过薄层色谱(TLC)测定,每种德氏乳杆菌菌株所产生的 EPS 的单糖组成以菌株依赖性的方式表现出明显的变化,可以大致分为 4 个 TLC 组。同时,我们使用 Transwell 共培养系统在半肠道模型中评估了 10 株德氏乳杆菌菌株所产生的 EPS 的免疫学性质,该系统在顶侧使用人肠道上皮 Caco-2 细胞,在基底外侧使用鼠巨噬细胞 RAW264.7 细胞。将每种 EPS 添加到顶侧以允许与 Caco-2 细胞直接接触,并孵育 6 小时。孵育后,通过对 L929 细胞的细胞毒性活性或 RT-PCR 方法定量测定由 RAW264.7 或 Caco-2 细胞释放的 TNF-α 和几种细胞因子的量。结果发现,EPS 刺激的 RAW264.7 细胞通过 Caco-2 细胞表达不同的细胞因子产生谱,但这种谱差异与上述 TLC 分组无关。这表明德氏乳杆菌菌株的 EPS 不仅在生化结构上而且在免疫学性质上都是多样化的。

https://cdn.ncbi.nlm.nih.gov/pmc/blobs/7ae1/4300312/a5cc6d3578c4/bmfh-34-011-g001.jpg

文献AI研究员

20分钟写一篇综述,助力文献阅读效率提升50倍。

立即体验

用中文搜PubMed

大模型驱动的PubMed中文搜索引擎

马上搜索

文档翻译

学术文献翻译模型,支持多种主流文档格式。

立即体验