• 文献检索
  • 文档翻译
  • 深度研究
  • 学术资讯
  • Suppr Zotero 插件Zotero 插件
  • 邀请有礼
  • 套餐&价格
  • 历史记录
应用&插件
Suppr Zotero 插件Zotero 插件浏览器插件Mac 客户端Windows 客户端微信小程序
定价
高级版会员购买积分包购买API积分包
服务
文献检索文档翻译深度研究API 文档MCP 服务
关于我们
关于 Suppr公司介绍联系我们用户协议隐私条款
关注我们

Suppr 超能文献

核心技术专利:CN118964589B侵权必究
粤ICP备2023148730 号-1Suppr @ 2026

文献检索

告别复杂PubMed语法,用中文像聊天一样搜索,搜遍4000万医学文献。AI智能推荐,让科研检索更轻松。

立即免费搜索

文件翻译

保留排版,准确专业,支持PDF/Word/PPT等文件格式,支持 12+语言互译。

免费翻译文档

深度研究

AI帮你快速写综述,25分钟生成高质量综述,智能提取关键信息,辅助科研写作。

立即免费体验

非糖尿病亚洲印度人中微量白蛋白尿与缺血性心脏病的关联:一项病例对照研究。

Association of microalbuminuria with ischemic heart disease in non-diabetic Asian-Indians: A case control study.

作者信息

Naha Sowjanya, Naha Kushal, Pandit Vinay R, Balasubramanian R

机构信息

Department of Medicine, Kasturba Hospital, Manipal, Karnataka, India.

Department of Medicine, Indira Gandhi Medical College and Research Institute, Puducherry, India.

出版信息

Avicenna J Med. 2015 Jan-Mar;5(1):6-10. doi: 10.4103/2231-0770.148501.

DOI:10.4103/2231-0770.148501
PMID:25625083
原文链接:https://pmc.ncbi.nlm.nih.gov/articles/PMC4296394/
Abstract

CONTEXT

Microalbuminuria is a known indicator of atherosclerosis and its association with ischemic heart disease (IHD) has been extensively studied in the diabetic population. The significance of urine microalbumin in non-diabetics, however, is yet to be elucidated.

AIM

To determine whether an independent association exists between microalbuminuria and IHD in non-diabetic Asian-Indians, and the level of microalbuminuria predictive of concomitant IHD.

MATERIALS AND METHODS

A cross-sectional case-control study was conducted between July 2009 and June 2011. Non-diabetic patients undergoing evaluation for IHD were divided into cases and controls, based on the presence or absence of IHD, respectively. Fifty cases and 50 controls were included, and matched by age, sex, smoking habit, hypertension and body-mass index (BMI). Fasting blood glucose (FBG), fasting lipid profile, and urine microalbumin were recorded for all patients.

RESULTS

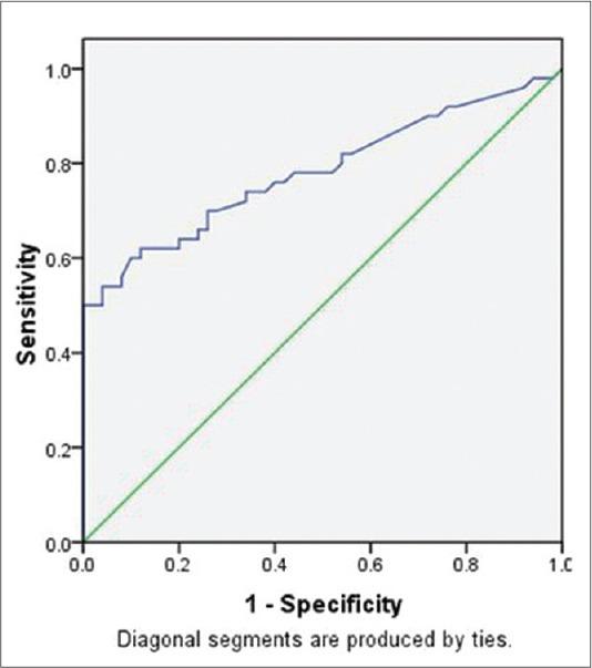
Mean fasting glucose, mean low density lipoprotein (LDL)-cholesterol and mean urine microalbumin were all significantly higher in cases compared to controls. Urine microalbumin was independently associated with IHD, and microalbumin greater than 12.6 mg/g was predictive of IHD (OR: 13.5; 95% CI, 4.6-39.9; P < 0.001).

CONCLUSION

Urine microalbumin is independently associated with IHD in non-diabetics and levels greater than 12.6 mg/g are predictive of IHD.

摘要

背景

微量白蛋白尿是动脉粥样硬化的已知指标,其与缺血性心脏病(IHD)的关联已在糖尿病患者群体中得到广泛研究。然而,非糖尿病患者尿微量白蛋白的意义尚待阐明。

目的

确定非糖尿病亚洲印度人中微量白蛋白尿与IHD之间是否存在独立关联,以及预测并发IHD的微量白蛋白尿水平。

材料与方法

于2009年7月至2011年6月进行了一项横断面病例对照研究。因IHD接受评估的非糖尿病患者根据是否患有IHD分别分为病例组和对照组。纳入50例病例和50例对照,并按年龄、性别、吸烟习惯、高血压和体重指数(BMI)进行匹配。记录所有患者的空腹血糖(FBG)、空腹血脂谱和尿微量白蛋白。

结果

与对照组相比,病例组的平均空腹血糖、平均低密度脂蛋白(LDL)胆固醇和平均尿微量白蛋白均显著更高。尿微量白蛋白与IHD独立相关,大于12.6 mg/g的微量白蛋白可预测IHD(OR:13.5;95%CI,4.6 - 39.9;P < 0.001)。

结论

非糖尿病患者中尿微量白蛋白与IHD独立相关,大于12.6 mg/g的水平可预测IHD。

https://cdn.ncbi.nlm.nih.gov/pmc/blobs/f1de/4296394/98faffe7fc50/AJM-5-6-g005.jpg
https://cdn.ncbi.nlm.nih.gov/pmc/blobs/f1de/4296394/ce536d725274/AJM-5-6-g003.jpg
https://cdn.ncbi.nlm.nih.gov/pmc/blobs/f1de/4296394/98faffe7fc50/AJM-5-6-g005.jpg
https://cdn.ncbi.nlm.nih.gov/pmc/blobs/f1de/4296394/ce536d725274/AJM-5-6-g003.jpg
https://cdn.ncbi.nlm.nih.gov/pmc/blobs/f1de/4296394/98faffe7fc50/AJM-5-6-g005.jpg

相似文献

1
Association of microalbuminuria with ischemic heart disease in non-diabetic Asian-Indians: A case control study.非糖尿病亚洲印度人中微量白蛋白尿与缺血性心脏病的关联:一项病例对照研究。
Avicenna J Med. 2015 Jan-Mar;5(1):6-10. doi: 10.4103/2231-0770.148501.
2
Prevalance of Microalbuminuria in Non Diabetic Ischemic Heart Disease Patients.非糖尿病缺血性心脏病患者微量白蛋白尿的患病率。
J Assoc Physicians India. 2022 Apr;70(4):11-12.
3
Fasting insulin and apolipoprotein B levels and low-density lipoprotein particle size as risk factors for ischemic heart disease.空腹胰岛素、载脂蛋白B水平及低密度脂蛋白颗粒大小作为缺血性心脏病的危险因素。
JAMA. 1998 Jun 24;279(24):1955-61. doi: 10.1001/jama.279.24.1955.
4
The contributions of fasting and postprandial blood glucose increments to oxidative stress and inflammation in dyslipidemic type 2 diabetic patients with stable ischemic heart disease.空腹及餐后血糖升高对血脂异常的2型糖尿病合并稳定型缺血性心脏病患者氧化应激和炎症的影响
Int J Cardiol. 2017 Jan 15;227:611-616. doi: 10.1016/j.ijcard.2016.10.089. Epub 2016 Oct 31.
5
[Association of microalbuminuria and fasting insulin levels with presence and severity of coronary artery disease in non-diabetic cases].非糖尿病患者中微量白蛋白尿和空腹胰岛素水平与冠状动脉疾病的存在及严重程度的关联
Anadolu Kardiyol Derg. 2008 Feb;8(1):16-21.
6
The relation of mean platelet volume with microalbuminuria and glomerular filtration rate in obese individuals without other metabolic risk factors: the role of platelets on renal functions.无其他代谢危险因素的肥胖个体中平均血小板体积与微量白蛋白尿和肾小球滤过率的关系:血小板在肾功能中的作用
Clin Nephrol. 2015 Jun;83(6):322-9. doi: 10.5414/CN108534.
7
Microalbuminuria in subjects with no history of diabetes mellitus and hypertension: the relationship with hyperglycemia and high blood pressure at non-diagnostic level.无糖尿病和高血压病史人群的微量白蛋白尿:与非诊断水平的高血糖和高血压的关系。
Hiroshima J Med Sci. 1990 Jun;39(2):57-60.
8
[Oxidized LDL and lipids as risk factors for ischemic heart disease in type 2 diabetes].[氧化型低密度脂蛋白和脂质作为2型糖尿病缺血性心脏病的危险因素]
Vojnosanit Pregl. 2005 Jul-Aug;62(7-8):529-36. doi: 10.2298/vsp0508529z.
9
Effects of lifestyle-related factors on ischemic heart disease according to body mass index and fasting blood glucose levels in Korean adults.生活方式相关因素对韩国成年人根据体重指数和空腹血糖水平的缺血性心脏病的影响。
PLoS One. 2019 May 15;14(5):e0216534. doi: 10.1371/journal.pone.0216534. eCollection 2019.
10
Plasma free fatty acid levels and the risk of ischemic heart disease in men: prospective results from the Québec Cardiovascular Study.男性血浆游离脂肪酸水平与缺血性心脏病风险:魁北克心血管研究的前瞻性结果
Atherosclerosis. 2002 Feb;160(2):377-84. doi: 10.1016/s0021-9150(01)00588-3.

引用本文的文献

1
Relationship of Microalbuminuria with Ischemic Heart Disease in Nondiabetic Subjects.非糖尿病患者微量白蛋白尿与缺血性心脏病的关系
Heart Views. 2025 Jan-Mar;26(1):28-33. doi: 10.4103/heartviews.heartviews_114_23. Epub 2025 Jul 16.
2
Coronary endothelial dysfunction appears to be a manifestation of a systemic process: A report from the Women's Ischemia Syndrome Evaluation - Coronary Vascular Dysfunction (WISE-CVD) study.冠状动脉内皮功能障碍似乎是全身过程的一种表现:来自女性缺血综合征评估-冠状动脉血管功能障碍(WISE-CVD)研究的报告。
PLoS One. 2021 Sep 27;16(9):e0257184. doi: 10.1371/journal.pone.0257184. eCollection 2021.

本文引用的文献

1
Diagnosis and classification of diabetes mellitus.糖尿病的诊断与分类
Diabetes Care. 2013 Jan;36 Suppl 1(Suppl 1):S67-74. doi: 10.2337/dc13-S067.
2
Reducing the global burden of ischemic heart disease and stroke: a challenge for the cardiovascular community and the United Nations.减轻全球缺血性心脏病和中风负担:心血管领域及联合国面临的一项挑战。
Circulation. 2011 Jul 19;124(3):278-9. doi: 10.1161/CIRCULATIONAHA.111.040170. Epub 2011 Jul 5.
3
Monitoring and surveillance of chronic non-communicable diseases: progress and capacity in high-burden countries.
慢性非传染性疾病的监测和监督:高负担国家的进展和能力。
Lancet. 2010 Nov 27;376(9755):1861-8. doi: 10.1016/S0140-6736(10)61853-3. Epub 2010 Nov 10.
4
Growing epidemic of coronary heart disease in low- and middle-income countries.中低收入国家冠心病流行日益严重。
Curr Probl Cardiol. 2010 Feb;35(2):72-115. doi: 10.1016/j.cpcardiol.2009.10.002.
5
Microalbuminuria and cardiovascular disease.微量白蛋白尿与心血管疾病
Clin J Am Soc Nephrol. 2007 May;2(3):581-90. doi: 10.2215/CJN.03190906. Epub 2007 Feb 14.
6
Cardiovascular biomarkers: added value with an integrated approach?心血管生物标志物:综合方法的附加价值?
Circulation. 2007 Jul 3;116(1):3-5. doi: 10.1161/CIRCULATIONAHA.107.707984.
7
Screening, monitoring, and treatment of albuminuria: Public health perspectives.蛋白尿的筛查、监测与治疗:公共卫生视角
J Am Soc Nephrol. 2006 Aug;17(8):2120-6. doi: 10.1681/ASN.2006010097. Epub 2006 Jul 6.
8
Microalbuminuria: association with ischaemic heart disease in non-diabetics.微量白蛋白尿:非糖尿病患者与缺血性心脏病的关联
J Ayub Med Coll Abbottabad. 2006 Jan-Mar;18(1):40-3.
9
Cost-effectiveness of screening for albuminuria with subsequent fosinopril treatment to prevent cardiovascular events: A pharmacoeconomic analysis linked to the prevention of renal and vascular endstage disease (PREVEND) study and the prevention of renal and vascular endstage disease intervention trial (PREVEND IT).通过后续福辛普利治疗筛查蛋白尿以预防心血管事件的成本效益:一项与预防肾脏和血管终末期疾病(PREVEND)研究及预防肾脏和血管终末期疾病干预试验(PREVEND IT)相关的药物经济学分析。
Clin Ther. 2006 Mar;28(3):432-44. doi: 10.1016/j.clinthera.2006.03.012.
10
Biomarkers of cardiovascular disease: molecular basis and practical considerations.心血管疾病的生物标志物:分子基础与实际考量
Circulation. 2006 May 16;113(19):2335-62. doi: 10.1161/CIRCULATIONAHA.104.482570.