Fréville Patrick, Montoux Nadège, Baray Jean-Luc, Chauvigné Aurélien, Réveret François, Hervo Maxime, Dionisi Davide, Payen Guillaume, Sellegri Karine
Observatoire de Physique du Globe de Clermont-Ferrand, Université Blaise Pascal, 24 av. des Landais, BP80026, Aubière Cedex 63171, France.
Laboratoire de Météorologie Physique-UMR 6016, Université Blaise Pascal, CNRS, 24 av. des Landais, BP 80026, Aubière Cedex 63171, France.
Sensors (Basel). 2015 Jan 29;15(2):3041-69. doi: 10.3390/s150203041.
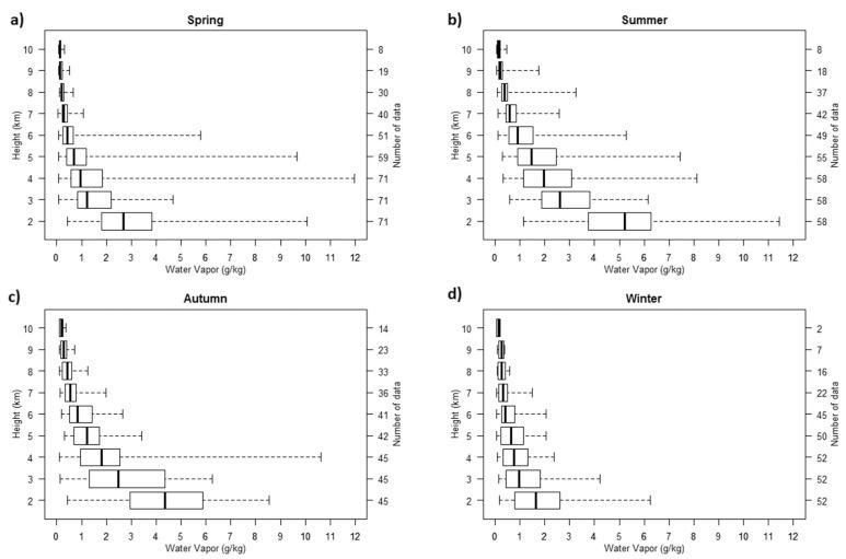
We present a Rayleigh-Mie-Raman LIDAR system in operation at Clermont-Ferrand (France) since 2008. The system provides continuous vertical tropospheric profiles of aerosols, cirrus optical properties and water vapour mixing ratio. Located in proximity to the high altitude Puy de Dôme station, labelled as the GAW global station PUY since August 2014, it is a useful tool to describe the boundary layer dynamics and hence interpret in situ measurements. This LIDAR has been upgraded with specific hardware/software developments and laboratory calibrations in order to improve the quality of the profiles, calibrate the depolarization ratio, and increase the automation of operation. As a result, we provide a climatological water vapour profile analysis for the 2009-2013 period, showing an annual cycle with a winter minimum and a summer maximum, consistent with in-situ observations at the PUY station. An overview of a preliminary climatology of cirrus clouds frequency shows that in 2014, more than 30% of days present cirrus events. Finally, the backscatter coefficient profile observed on 27 September 2014 shows the capacity of the system to detect cirrus clouds at 13 km altitude, in presence of aerosols below the 5 km altitude.