Suppr超能文献

肠易激综合征患者与健康对照者的小肠微生物群无差异。

No difference in small bowel microbiota between patients with irritable bowel syndrome and healthy controls.

作者信息

Dlugosz Aldona, Winckler Björn, Lundin Elin, Zakikhany Katherina, Sandström Gunnar, Ye Weimin, Engstrand Lars, Lindberg Greger

机构信息

Karolinska Institutet, Department of Medicine and Center for Digestive Diseases, Karolinska University Hospital Huddinge, Stockholm, Sweden.

Karolinska Institutet, Department of Medical Epidemiology and Biostatistics, Stockholm, Sweden.

出版信息

Sci Rep. 2015 Feb 17;5:8508. doi: 10.1038/srep08508.

Abstract

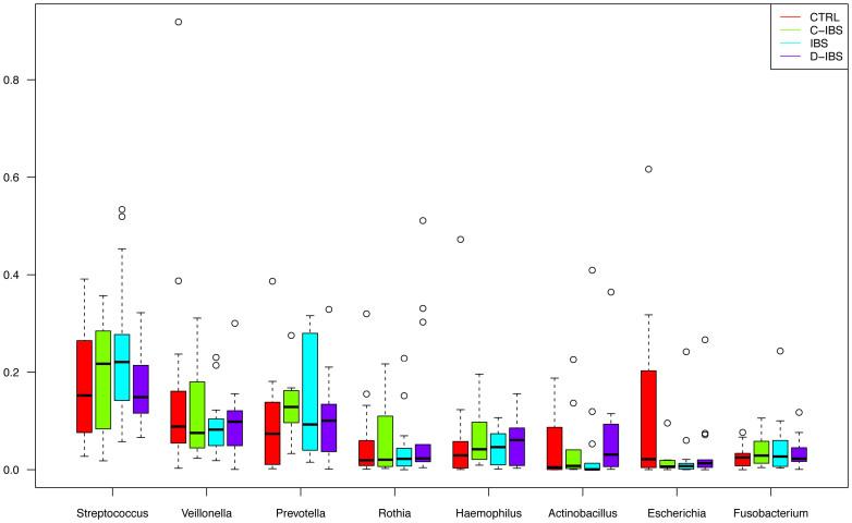
Several studies have indicated that colonic microbiota may exhibit important differences between patients with irritable bowel syndrome (IBS) and healthy controls. Less is known about the microbiota of the small bowel. We used massive parallel sequencing to explore the composition of small bowel mucosa-associated microbiota in patients with IBS and healthy controls. We analysed capsule biopsies from the jejunum of 35 patients (26 females) with IBS aged 18-(36)-57 years and 16 healthy volunteers (11 females) aged 20-(32)-48 years. Sequences were analysed based on taxonomic classification. The phyla with the highest total abundance across all samples were: Firmicutes (43%), Proteobacteria (23%), Bacteroidetes (15%), Actinobacteria (9.3%) and Fusobacteria (7.0%). The most abundant genera were: Streptococcus (19%), Veillonella (13%), Prevotella (12%), Rothia (6.4%), Haemophilus (5.7%), Actinobacillus (5.5%), Escherichia (4.6%) and Fusobacterium (4.3%). We found no difference among major phyla or genera between patients with IBS and controls. We identified a cluster of samples in the small bowel microbiota dominated by Prevotella, which may represent a common enterotype of the upper small intestine. The remaining samples formed a gradient, dominated by Streptococcus at one end and Escherichia at the other.

摘要

多项研究表明,肠易激综合征(IBS)患者与健康对照者的结肠微生物群可能存在重要差异。关于小肠微生物群的了解较少。我们使用大规模平行测序来探究IBS患者和健康对照者小肠黏膜相关微生物群的组成。我们分析了35名年龄在18 -(36)- 57岁的IBS患者(26名女性)空肠的胶囊活检样本以及16名年龄在20 -(32)- 48岁的健康志愿者(11名女性)空肠的胶囊活检样本。基于分类学分类对序列进行分析。所有样本中总丰度最高的门为:厚壁菌门(43%)、变形菌门(23%)、拟杆菌门(15%)、放线菌门(9.3%)和梭杆菌门(7.0%)。最丰富的属为:链球菌属(19%)、韦荣球菌属(13%)、普雷沃菌属(12%)、罗氏菌属(6.4%)、嗜血杆菌属(5.7%)、放线杆菌属(5.5%)、大肠杆菌属(4.6%)和梭杆菌属(4.3%)。我们发现IBS患者和对照组之间在主要门或属方面没有差异。我们在小肠微生物群中鉴定出一组以普雷沃菌属为主导的样本,这可能代表了上小肠的一种常见肠型。其余样本形成了一个梯度,一端以链球菌属为主导,另一端以大肠杆菌属为主导。

https://cdn.ncbi.nlm.nih.gov/pmc/blobs/108c/4330528/bf879f944f31/srep08508-f1.jpg

文献AI研究员

20分钟写一篇综述,助力文献阅读效率提升50倍。

立即体验

用中文搜PubMed

大模型驱动的PubMed中文搜索引擎

马上搜索

文档翻译

学术文献翻译模型,支持多种主流文档格式。

立即体验