Suppr超能文献

去除卵巢激素会在大鼠中诱发一种类似脂多糖作用的疾病行为。

Deletion of ovarian hormones induces a sickness behavior in rats comparable to the effect of lipopolysaccharide.

作者信息

Azizi-Malekabadi Hamid, Hosseini Mahmoud, Pourganji Masoume, Zabihi Hoda, Saeedjalali Mohsen, Anaeigoudari Akbar

机构信息

Department of Biology, Faculty of Basic Sciences, Islamic Azad University, Isfahan (Khorasgan) Branch, Isfahan, Iran.

Neurocognitive Research Center and Department of Physiology, School of Medicine, Mashhad University of Medical Sciences, Azadi Square, Mashhad 9177947564, Iran ; Neurogenic Inflammation Research Center and Department of Physiology, School of Medicine, Mashhad University of Medical Sciences, Mashhad, Iran.

出版信息

Neurol Res Int. 2015;2015:627642. doi: 10.1155/2015/627642. Epub 2015 Jan 29.

Abstract

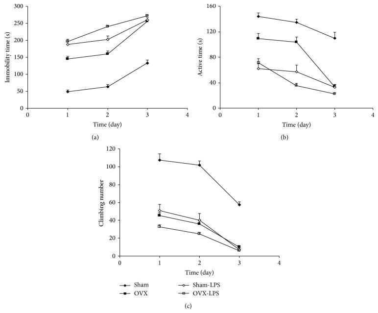
Neuroimmune factors have been proposed as the contributors to the pathogenesis of sickness behaviors. The effects of female gonadal hormones on both neuroinflammation and depression have also been well considered. In the present study, the capability of deletion of ovarian hormones to induce sickness-like behaviors in rats was compared with the effect lipopolysaccharide (LPS). The groups were including Sham, OVX, Sham-LPS, and OVX-LPS. The Sham-LPS and OVX-LPS groups were treated with LPS (250 μg/kg) two hours before conducting the behavioral tests. In the forced swimming (FST), the immobility times in both OVX and Sham-LPS groups were higher than that of Sham (P < 0.001). In open-field (OP) test, the central crossing number by OVX and Sham-LPS groups were lower than Sham (P < 0.001) while there were no significant differences between OVX-LPS and OVX groups. In elevated plus maze (EPM), the percent of entries to the open arm by both OVX and Sham-LPS groups was lower than that of Sham group (P < 0.001). The results of present study showed that deletion of ovarian hormones induced sickness behaviors in rats which were comparable to the effects of LPS. Moreover, further investigations are required in order to better understand the mechanism(s) involved.

摘要

神经免疫因素被认为是疾病行为发病机制的促成因素。女性性腺激素对神经炎症和抑郁症的影响也已得到充分研究。在本研究中,将去除卵巢激素诱导大鼠出现疾病样行为的能力与脂多糖(LPS)的作用进行了比较。分组包括假手术组(Sham)、卵巢切除组(OVX)、假手术-LPS组(Sham-LPS)和卵巢切除-LPS组(OVX-LPS)。在进行行为测试前两小时,对Sham-LPS组和OVX-LPS组给予LPS(250μg/kg)治疗。在强迫游泳试验(FST)中,OVX组和Sham-LPS组的不动时间均高于假手术组(P<0.001)。在旷场试验(OP)中,OVX组和Sham-LPS组的中央穿越次数低于假手术组(P<0.001),而OVX-LPS组和OVX组之间无显著差异。在高架十字迷宫试验(EPM)中,OVX组和Sham-LPS组进入开放臂的百分比均低于假手术组(P<0.001)。本研究结果表明,去除卵巢激素可诱导大鼠出现疾病行为,其效果与LPS相当。此外,需要进一步研究以更好地了解其中涉及的机制。

https://cdn.ncbi.nlm.nih.gov/pmc/blobs/9145/4325213/a15f449db7c8/NRI2015-627642.001.jpg

文献AI研究员

20分钟写一篇综述,助力文献阅读效率提升50倍。

立即体验

用中文搜PubMed

大模型驱动的PubMed中文搜索引擎

马上搜索

文档翻译

学术文献翻译模型,支持多种主流文档格式。

立即体验